Spot exchange rate settlement time
T + 2 settlement
Currency prices quotations
The base currency is the one being bought or sold in units of the price currency
Price / Basebid (seller)
Price / Basebid (buyer)
Price / Baseoffer (seller)
Price / Baseoffer (buyer)
Covered interest rate parity - formula a

Covered interest rate parity - formula b

Forward premium/discount - formula

Forward premium on the domestic currency
The domestic currency will trade at a forward premium (Ff/d > Sf/d) if, and only if, the foreign risk-free interest rate exceeds the domestic risk-free interest rate (if > id)
Mid-market spot rate
Used for FX transactions
Uncovered interest rate parity expected return
The expected return on an uncovered foreign currency investment should equal the return on a comparable domestic investment
Uncovered interest rate parity condition in terms of the expected change in the exchange rate

Return on a uncovered investment formula

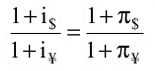
Relative version of PPP
The ex ante version of PPP
The ex ante version of PPP focuses on expected changes in the spot exchange rate being entirely driven by expected differences in national inflation rates
%ΔSef/d = πef − πed
International Fisher effect
The international Fisher effect must satisfy this relation

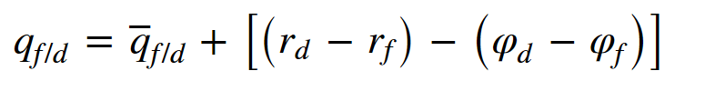
Real exchange rate - formula

Real exchange rate with explicit risk premium formula

Real interest rate parity condition
Real interest rates will converge to the same level across different markets
Long-term exchange rate convergence
Gravitate toward their PPP equilibirum value
If uncovered interest rate parity holds, then the nominal interest rate spread (if – id) equals the expected change in the exchange rate ( %ΔSef/d). Similarly, if ex ante PPP holds, the difference in expected inflation rates ( πεf−πεd) also equals the expected change in the exchange rate. Assuming that both uncovered interest rate parity and ex ante PPP hold leads to

Under low capital mobility