Moneyness of an option
Refers to the relationship between the price of the underlying and the exercice price
Option premium
Sometimes used instead of option price
Long-term equity anticipatory securities (LEAPS)
Options with expiration of several years
Options Clearing Corporation (OCC)
A clearinghouse that manages options
Interest rate option settlement
The settlement is done at the end of the period covered by the option and not at expiration
Interest rate cap
Interest rate floor
Interest rate collar
A collar is a combination of a long (short) cap and short (long) floor, struck at different rates
Zero-cost collar
When the price received for going short either the floor or the cap is precisely the price required to go long the other one
Options notation - European vs American
Options value vocabulary
Options minimum and maximum value
A lower bound combination for European Calls

A lower bound combination for European Puts

Fiduciary call and protective put values

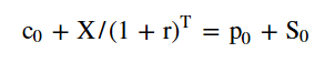
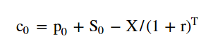
Put-call parity equation

Fiduciary Call
A combination of a European call and a risk-free bond that matures on the option expiration day and has a face value equal to the exercise price of the call

Protective Put
An option strategy in which a long position in an asset is combined with a long position in a put

Synthetic put

Synthetic call

Synthetic call values

Synthetic put values

Lower bounds for European options considering cash flows

Put-call parity considering cash flows
