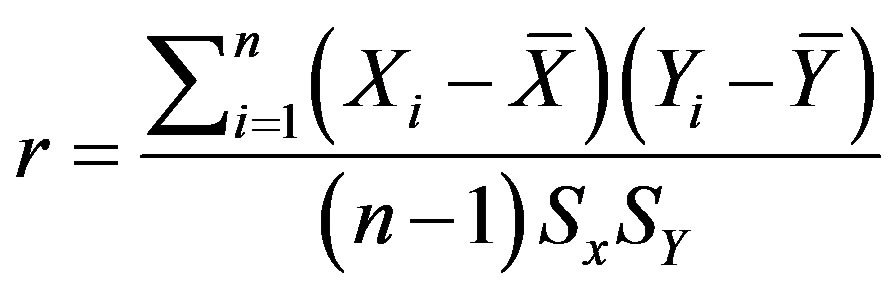
r
r = Cov(X, Y) / sX sY
r (extended)

spurious correlation
CFO
NI + non cash charges - working capital investement
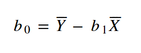
Assumptions of the linear regression model
b0

b1

FFCF
CFO + Interest expense (1 - t) - FCInv
/
NI + non cash charges - WCInv + Interest expense (1 - t) - FCInv
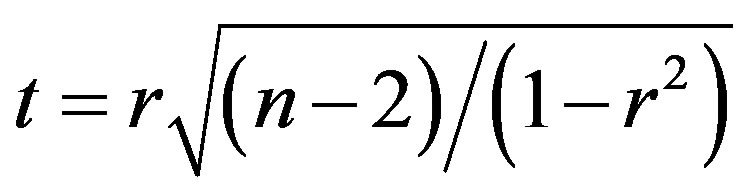
t-test for the correlation coefficient

Least square equation

Coefficient of determination
r2
/
1 - (unexplained variation/ total variation)
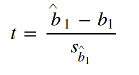
t-test for linear regression

t-test for linear regression - utility
For hypothesis tests concerning the population mean of a normally distributed population with unknown (known) variance, the theoretically correct test statistic is the t-statistic (z-statistic). In the unknown variance case, given large samples (generally, samples of 30 or more observations), the z-statistic may be used in place of the t-statistic because of the force of the central limit theorem
t-test for linear regression - degrees of freedom
of observations - (Number of independant variables + 1) =
n - (k + 1)
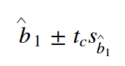
t-test for linear regression - interval

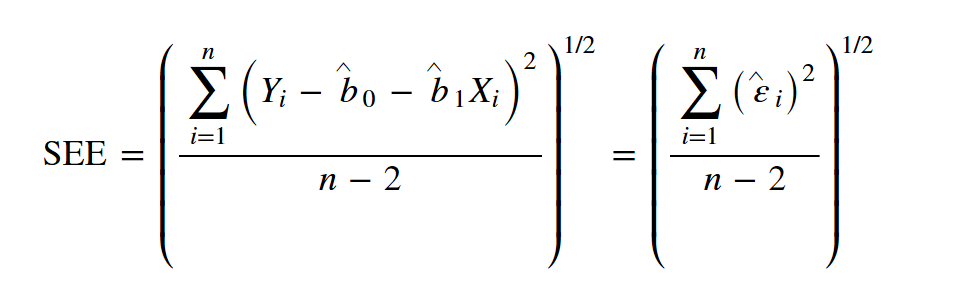
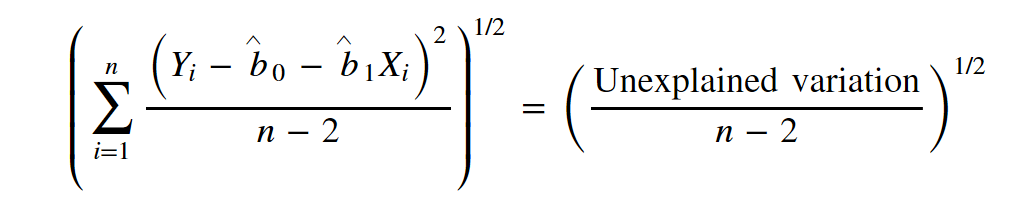
SEE
(SSE/n-2)1/2

SEE - relation to unexplained variation
Unexplained variation = SSE

SEE - definition
The standard error of the estimate is a measure of the accuracy of predictions made with a regression line. (Also called the residual standard error)
SE of the t-test for linear regression

Standard error versus standard deviation
The standard error of the sample is an estimate of how far the sample mean is likely to be from the population mean, whereas the standard deviation of the sample is the degree to which individuals within the sample differ from the sample mean
Type I error : rejecting a true null hypothesis
Type II error : failing to reject a false null hypothesis
p-value definition
Smallest level of significance at which the null hypothesis can be rejected
EV
Market value of equity and debt - value of cash and investments
IC (Invested Capital)
Book value of debt and equity