Functions and Sequences (Chapter 2 & 3) Flashcards

Chapter 2 & 3 (30 cards)

1
Q

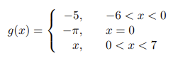
Identify the range of the following function

A

{-5, -π} ∪ (0, 7)

How well did you know this?
1
Not at all
2
3
4
5
Perfectly
2
Q

True or false?

(f∘f-1)(x) = (f-1∘f)(x)

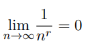
A

True.

It is commutative in this case. However, note it is not always commutative like (f∘g)(x) may not be equal to (g∘f)(x) when g and f are different functions.

How well did you know this?
1
Not at all
2
3
4
5
Perfectly
3
Q

Sketch the inverse of a sin function

A

Initially, you cannot get an inverse of a sin as it is not one-to-one. But when you restrict the domain, it is possible which gives you the arcsin(x) function

How well did you know this?
1
Not at all
2
3
4
5
Perfectly
4
Q

Sketch the inverse of a cosine function

A

Initially, you cannot get an inverse of a cos as it is not one-to-one. But when you restrict the domain, it is possible which gives you the arccos(x) function

How well did you know this?
1
Not at all
2
3
4
5
Perfectly
5
Q

Sketch the inverse of the tan function

A
How well did you know this?
1
Not at all
2
3
4
5
Perfectly
6
Q

What is tan(pi/4)

A

1

How well did you know this?
1
Not at all
2
3
4
5
Perfectly
7
Q

What is tan (pi/6)

A

1/sqrt(3) = sqrt(3)/3

How well did you know this?
1
Not at all
2
3
4
5
Perfectly
8
Q

What is tan (pi/3)

A

sqrt(3)

How well did you know this?
1
Not at all
2
3
4
5
Perfectly
9
Q

Given a sequence {an}7n=0

When does the sequence start and end?

A

Starts at a0 and ends at a7

How well did you know this?
1
Not at all
2
3
4
5
Perfectly
10
Q

What can be said about convergent sequences?

A

Convergent sequences have a limit.

It can be said that the sequence will ‘converge’ to the limit

How well did you know this?
1
Not at all
2
3
4
5
Perfectly
11
Q

Determine if the following sequence is convergent or divergent?

A
How well did you know this?
1
Not at all
2
3
4
5
Perfectly
12
Q

True or false?

Since both cos(nπ) and sin(nπ) alternate, they are both divergent.

A

False

How well did you know this?
1
Not at all
2
3
4
5
Perfectly
13
Q

True or false?

Adding two limits that are divergent will always give a divergent limit.

A

False.

How well did you know this?
1
Not at all
2
3
4
5
Perfectly
14
Q

Identify if the following sequence converges or not.

{an}=rn

for |r|<1

A

Converges to 0
|r|<1 basically means -1<r<1.
And so it will become some fraction of 1 (1/2, -1/3, 1/4, etc.). Raising these numbers to higher powers will make them become closer to zero whether they are negative or positive (the denominator will get larger and larger)

How well did you know this?
1
Not at all
2
3
4
5
Perfectly
15
Q

Identify if the following sequence converges or not.

{an}=1n

A

Converges to 1

How well did you know this?
1
Not at all
2
3
4
5
Perfectly
16
Q

Identify if the following sequence converges or not.

{an}=(-1)n

A

Divergent

{an}=1,-1, 1,-1, 1,-1, 1,-1…

17
Q

Identify if the following sequence converges or not.

{an}=rn

for |r|>1

A

Sequence is divergent
For any number larger than 1, an will get larger as it will be raised to larger powers (either negative way or postive way). And so the limit would be infinity meaning it D.N.E

18
Q

Evaluate the following limit

A

lim=1. Converges to 1

Notice the 1/n exponential. So as n gets larger, exponent will get closer to 0. And so c1/n will get closer to 1 (c0=1)

19
Q

Evaluate the following limit

for r>0
A

Converges to 0. Note that as n gets larger, the demonimator (nr) will aproach a large number. And 1 divided by a larger and larger number will become closer and closer to 0

20
Q

True or false?

The following limit is known as an indeterminate

A

False.

Recall that an indeterminate is when there is ‘competition’ where the number wants to get larger and smaller at the same time such as: (an)/n

21
Q

Evaluate the following limit

A

1

Note that the base, n gets larger but the index, 1/n gets smaller. And so there is a competition going on. So it is either the limit aproaches infinity (base wins the competition) or the limit aproaches 1 (index wins the competition, 1/n aproaches 0). You just have to remember that the index wins

22
Q

True or false.

The following is an example of an indeterminate

A

True.

There is a ‘competition’ going on. The base, n gets larger but the index, 1/n gets smaller

23
Q

Evalutate the following limit

A

0

As n gets larger, the denominator will get larger, and the number will get smaller and smaller (aproaching 0)

24
Q

Evaluate the following limit

A

0

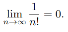
This is an example of an indeterminate. The numerator will try to make the limit to get larger and larger as n increases while the denominator will try to make the limit smaller as n increases. The question is, who will win. In this case, factorials have a greater rate of change (on average) and so the denominator will win and cause the limit to aproach 0.

25
# Evaluate the following limit
e ## Footnote As n gets larger and larger, the number inside the bracket will aproach 1. This is because 1/n will aproach 0; adding 1 to that will equal 1. Raising a number close to 1 by n (for any n number) will not be 1 because the base is not exactly 1. It will try to make it large. And so the question is, what number does it reach? The fact is it reaches e, eulers number.
26
# True or false? The following is an example of an indeterminate
True ## Footnote There is a competition going on. As n gets larger and larger, the number inside the bracket will aproach 1. This is because 1/n will aproach 0; adding 1 to that will equal 1. Raising a number close to 1 by n (for any n number) will not be 1 because the base is not exactly 1. It will try to make it large.
27
Explain the meaning behind euler's number *e*
Euler's number is actually obtained from the following limit ## Footnote Basically, when you have compound interest at a 100% interest rate, As you compound it for longer and longer, your amount will slowly be multiplied by Euler's number each time
28
# Evaluate the following limit
ea ## Footnote Just have to remember this. Note the simularity between this and euler's limit
29
# Given sequences: {an}, {bn}, {cn} Explain the squeeze theorum
30