Limits and Continuity (Chapter 4 & 5) Flashcards

(32 cards)

1
Q

Evaluate the limit of the following graph as x aproaches 5

A

10

How well did you know this?
1
Not at all
2
3
4
5
Perfectly
2
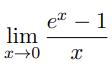
Q

Evaluate the following limit

A

1

A basic limit to remember

How well did you know this?
1
Not at all
2
3
4
5
Perfectly
3
Q

Evaluate the following limit

A

a

A basic limit to remember

How well did you know this?
1
Not at all
2
3
4
5
Perfectly
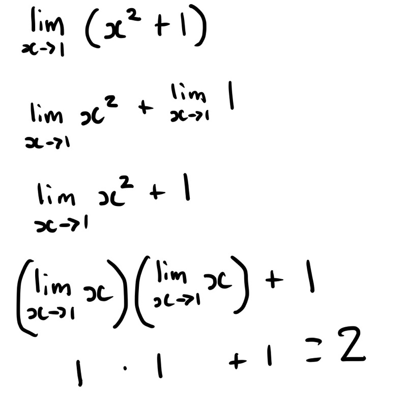
4
Q
Utilising basic limits
A
How well did you know this?
1
Not at all
2
3
4
5
Perfectly
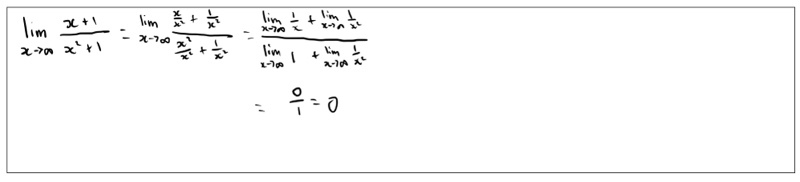
5
Q
A
Therefore, if indeterminate, then you must find a way to solve it
How well did you know this?
1
Not at all
2
3
4
5
Perfectly
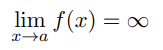
6
Q

Finish the following sentence

In the following case, we say f(x) diverges to __

A

Positive infinity

How well did you know this?
1
Not at all
2
3
4
5
Perfectly
7
Q

Finish the following sentence

In the following case, we say f(x) diverges to __

A

Negative infinity

How well did you know this?
1
Not at all
2
3
4
5
Perfectly
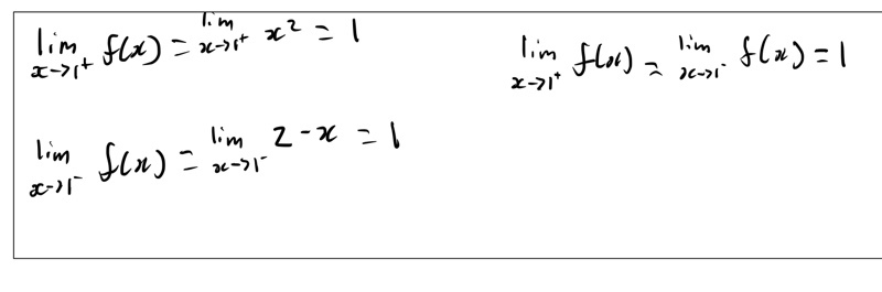
8
Q

Which cases should you pay close attention to left and right hand side limits?

A

In piecewise functions

How well did you know this?
1
Not at all
2
3
4
5
Perfectly
9
Q
A
How well did you know this?
1
Not at all
2
3
4
5
Perfectly
10
Q
A
How well did you know this?
1
Not at all
2
3
4
5
Perfectly
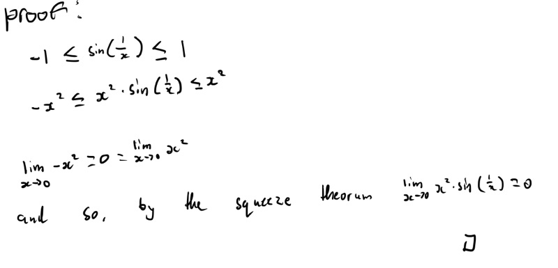
11
Q
A
Note sine function will always be between [-1, 1] no matter of whats in the brackets
How well did you know this?
1
Not at all
2
3
4
5
Perfectly
12
Q
A
How well did you know this?
1
Not at all
2
3
4
5
Perfectly
13
Q
A
How well did you know this?
1
Not at all
2
3
4
5
Perfectly
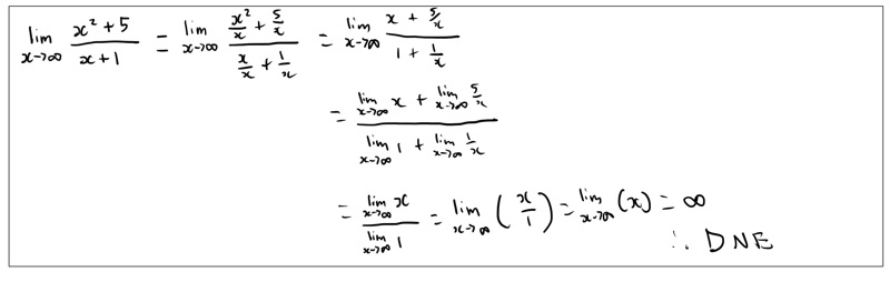
14
Q

True or false?

The ‘highest power method’ only works when x aproaches infinity

A

True

Note how you can easily just solve this
How well did you know this?
1
Not at all
2
3
4
5
Perfectly
15
Q
A
How well did you know this?
1
Not at all
2
3
4
5
Perfectly
17
Q

Evaluate the following limit

A

1

You just have to remember this one

Note that sinθ ≈ θ for small values of θ. And so it basically becomes x/x=1

18
Q

Evaluate the following limit

A

1/2

You just have to remember this one

19
Q

Evaluate the following limit

A

1

You just have to remember this one

However note the similarity between this and first principles
20
Q

When can we say a function, f is continuous at a?

21
Q

Explain why f has discontinuity at x=0

22
Q
A

f(0) is not defined

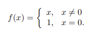
23
Q

Explain why the following function is discontinuous at x=0

24
Q

Finish the following sentence

We say that f is continuous on the open interval (a, b), if ___

A

f is continuous for all x ∈ (a, b)

note (a, b) is an interval not a tuple

25
# Finish the following sentence If f is continuous on the closed interval [a, b], then f is continuous on (a, b) and ___
26
# True or false? f(x)=|x| is a continuous function
True
27
# True or false? Adding _and_ subtracting two continuous functions gives a new continuous function
True
28
# True or false? Multiplying two continuous functions creates a new continuous function but dividing does not
False. They both create continuous functions
29
# Give a formal definition to the following sentence: "If a function, f is continuous at x=g(x) and a function, g is continuous at x=a then f ∘ g is also continuous at x=a"
30
Prove the following:
31
What does the intermediate value theorum state?
If f is continuous on the interval [a, b] and N is any number between f(a) and f(b) where f(a)≠f(b). Then there exists c ∈ (a, b) such that f(c)=N
32