Sequences (Chapter 7) Flashcards

(34 cards)

1
Q
Explain why
A
How well did you know this?
1
Not at all
2
3
4
5
Perfectly
2
Q

What is euler’s series?

Does it diverge or converge?

A

It converges to pi2/6

Also known as basel series

How well did you know this?
1
Not at all
2
3
4
5
Perfectly
3
Q

What is the harmonic series?

Does it diverge or converge?

A

It diverges

How well did you know this?
1
Not at all
2
3
4
5
Perfectly
4
Q

What is grandi’s series

A
How well did you know this?
1
Not at all
2
3
4
5
Perfectly
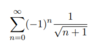
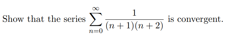
5
Q
A
How well did you know this?
1
Not at all
2
3
4
5
Perfectly
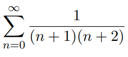
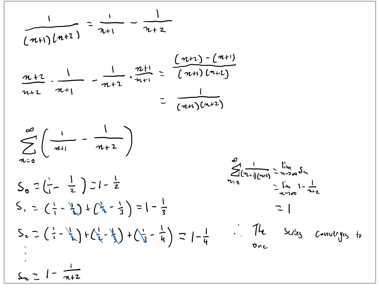
6
Q

What is the name of this series

A

It is a telescopic series

How well did you know this?
1
Not at all
2
3
4
5
Perfectly
7
Q

True or false

All telescopic series converges

A

False

How well did you know this?
1
Not at all
2
3
4
5
Perfectly
8
Q

What is the general form for any p series?

A
For any real number p
How well did you know this?
1
Not at all
2
3
4
5
Perfectly
9
Q

When does a p series converge and when does it diverge?

A
How well did you know this?
1
Not at all
2
3
4
5
Perfectly
10
Q

What is the if statement related to the divergence test

A
How well did you know this?
1
Not at all
2
3
4
5
Perfectly
11
Q
A
How well did you know this?
1
Not at all
2
3
4
5
Perfectly
12
Q

What do all p series have in common (in regards to the first term)

A

The first term is always 1.

1/np = 1 for n=1 everytime (no matter the p)

How well did you know this?
1
Not at all
2
3
4
5
Perfectly
13
Q

True or false?

If the tail of a series diverges, then the whole series also diverges

A

True

If you know the tail diverges, the sum will go to infinity

How well did you know this?
1
Not at all
2
3
4
5
Perfectly
14
Q

True or false

If the tail of a series converges, then the whole series also converges

A

True

If you know the tail converges, then you just add the head to the converging tail and it will become a number (rather than infinity)

How well did you know this?
1
Not at all
2
3
4
5
Perfectly
15
Q

Identify if the following is a p series or not

A

1/1+1/2+1/3+1/4+1/5+…+1/n

It is a p-series

How well did you know this?
1
Not at all
2
3
4
5
Perfectly
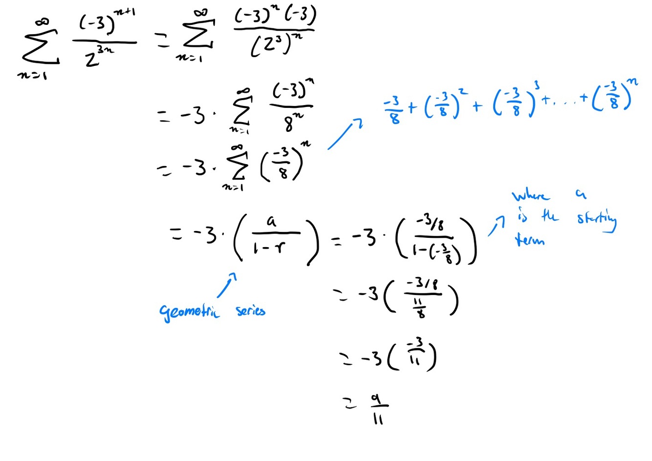
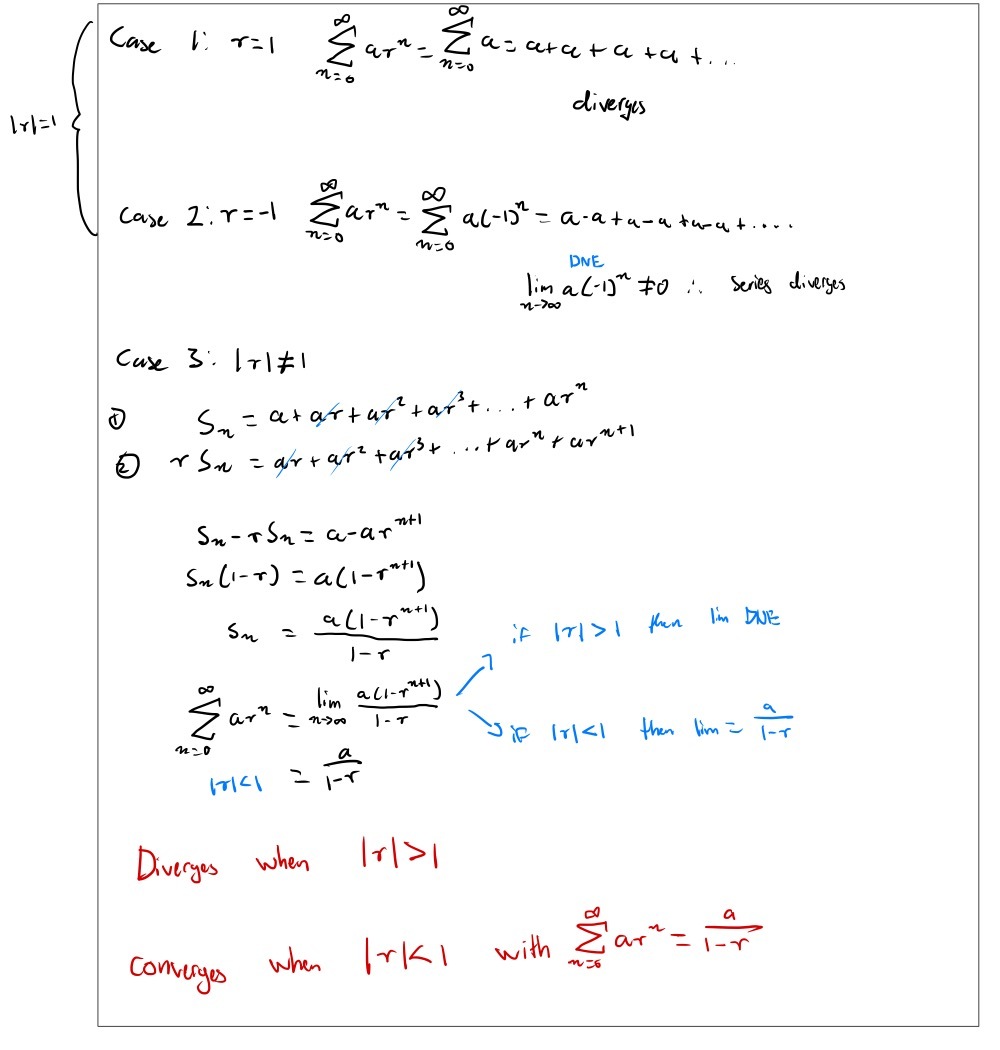
16
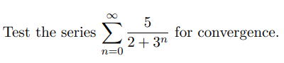
Q

Idenitfy the name of this series. Identify when it converges (and how to calculate what it converges to) and when it diverges

A
Note that a is the first term and r is the common ratio
18
Q
Explain the comparison test
21
Q
Revision
22
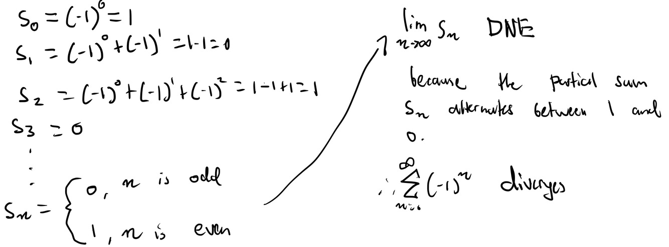
Q

What is defined as an alternating series

A

When the sign of each term alternates between + and -

(+,-,+,-,+,-)

23
Q

True or false?

The alternating harmonic series is convergent

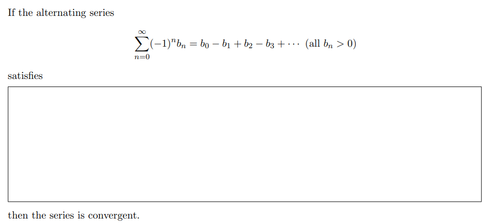
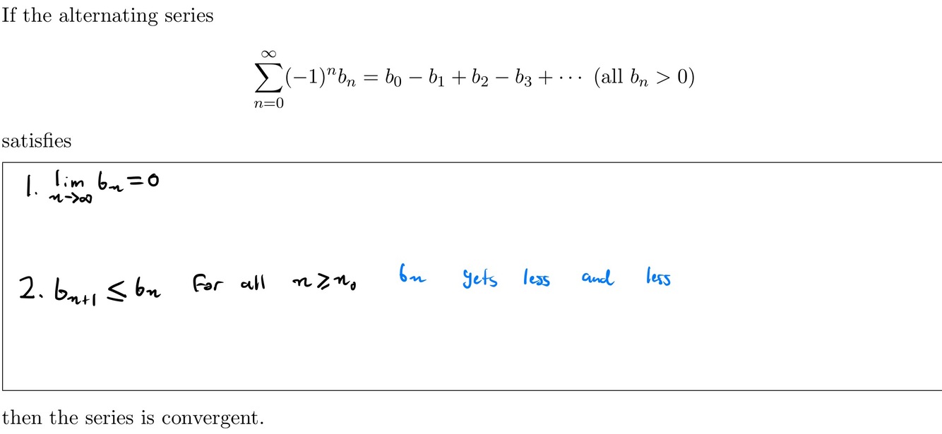
24
Q

Fill the box

A

The alternating series test can only be used to show convergence, not divergence.

25
26
27
When do we say a series converges absolutely?
28
When do we say a series converges condititionally
| Basically when a series converges but not necessarily absolutely
29
30
# Is the following series conditionally or absolutely convergent?
## Footnote You don't actually need to show convergence of the orginal series. Absolute convergence implies convergence
31
# Is the following series conditionally or absolutely convergent?
32
# True or false? If a series is absolutely convergent, then it is convergent
True
33
Define the ratio test
If each term in the series gets less and less, then it will absolutely converge. If each term in the series gets more and more, then it will diverge
34