What are the 2 top tips for the GMAT?
What are the question types in the quantitative test and what share do they account for? (old test)
Data sufficiency questions = 40 %
When are you trying to find a Yes/No answer for data sufficiency questions?
If the question asked starts with “is”, “are” or “does” you look for a yes/no answer rather than a number.
What are integers?

What are whole numbers?

What are irrational numbers?
Numbers that canNOT be expressed as a fraction or ratio.
Examples: π and √2
When do you know that the GMAT is testing you in imaginary numbers?
If they ask you to take any EVEN ROOT OF A NEGATIVE NUMBER.
√-100 or √-8 fx.
What are the prime numbers up until 130
2, 3, 5, 7,
11, 13, 17, 19,
23, 29,
31, 37,
41, 43, 47,
53, 59,
61, 67,
71, 73, 79,
83, 89,
97,
101, 103, 107, 109,
113,
127.
What does “absolute value” mean and how is it expressed?
A number’s absolute value is its distance from zero on the number line, and like any distance, its ALWAYS positive.
Absolute value of 3 is 3. Absolute value of -8 is 8.

What is the order to work in maths?
PEMDAS
Parantheses
Exponents
Multiplication
Division
Addition
Subtraction
What is (x + y)*(x + y)?
(x + y)^2
x^2 + 2xy + y^2
What is (x - y)*(x - y)?
(x - y)^2
x^2 - 2xy + y^2
What is (x + y)*(x - y)?
x^2 - y^2
What is
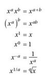
How do you multiply exponent together? fx: x^3 * x^5
X^3 * X^5
Simply add the exponents together: X^3 * X^5 = X^8
is the same as: (x*x*x) * (x*x*x*x*x) = x^3 * x^5 = X^8
How do you divide exponents together? fx: y^3 / y^5
Simply subtract the denominator from the numerator.
y^3 / y^5 = (y3 - y5) = y^-2
What is the value of one exponent raised to another exponent? such as: (x^6)^3
Just multiply the two exponents
(X^6)^3 = x^18
What is 355^0?
1
ALL real numbers raised to the power of 0 = 1
What is x^0?
1
ALL real numbers raised to the power of 0 = 1
What is 3^-4?
which is = 1 / 3^4
which is 1 / 81
What can be said about “any number greater than 1 raised to a negative exponent”?
It will be a number greater than 0 but less than 1.
What is a number raised to a fractional power? such as X^⅙
ALL real numbers raised to the power of 0 = 1
X^⅙ =
What is the result of 2^2, 2^3, 2^4, 2^5, 2^6, 2^7, 2^2, 2^9, 2^10
What is the result of 3^2, 3^3, 3^4, 3^5?