Helpful trig Flashcards

(10 cards)

1
Q

Odd and even properties of sin/cos/tan

A
How well did you know this?
1
Not at all
2
3
4
5
Perfectly
2
Q

4 double angle formulae

A
How well did you know this?
1
Not at all
2
3
4
5
Perfectly
3
Q

4 Sums and differences of angles
(don’t worry too much)

A
How well did you know this?
1
Not at all
2
3
4
5
Perfectly
4
Q

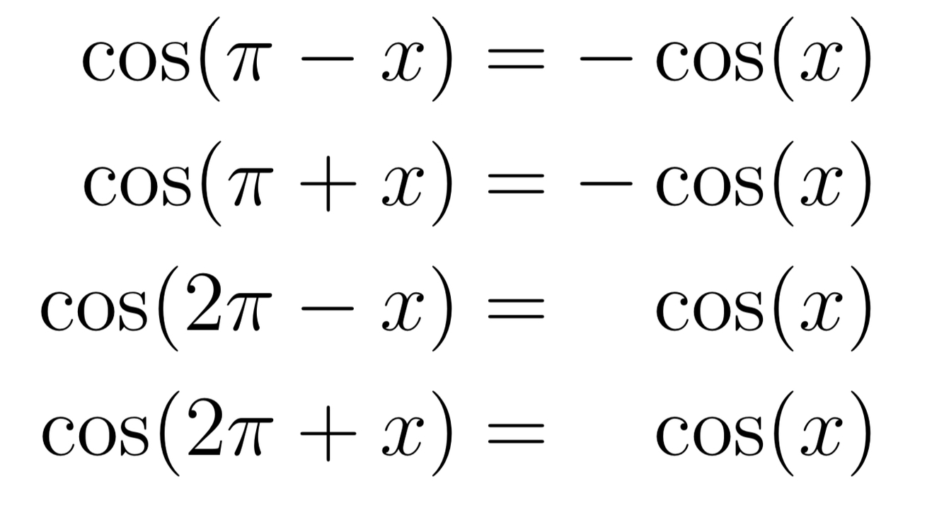
Unit circle properties: cos

A
How well did you know this?
1
Not at all
2
3
4
5
Perfectly
5
Q

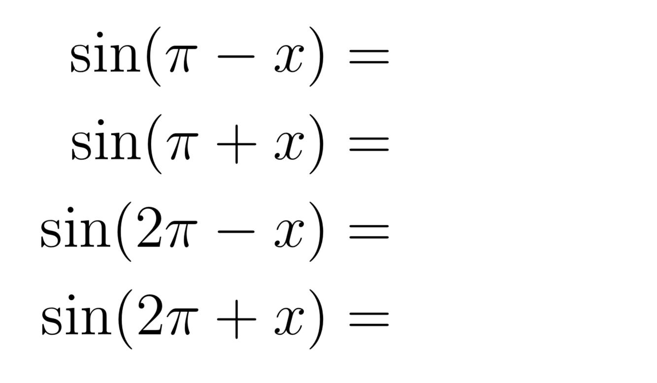
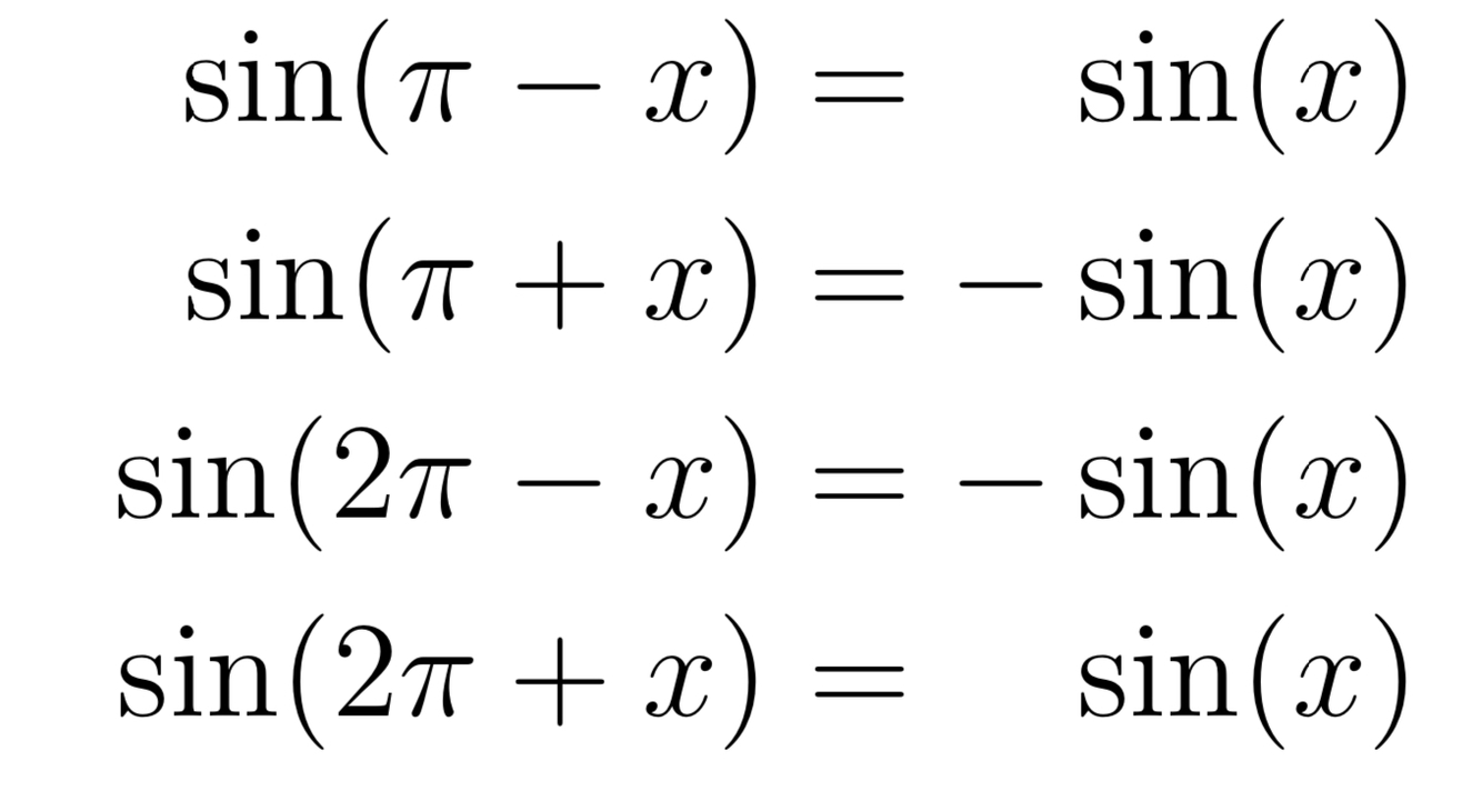
Unit circle properties: sin

A
How well did you know this?
1
Not at all
2
3
4
5
Perfectly
6
Q

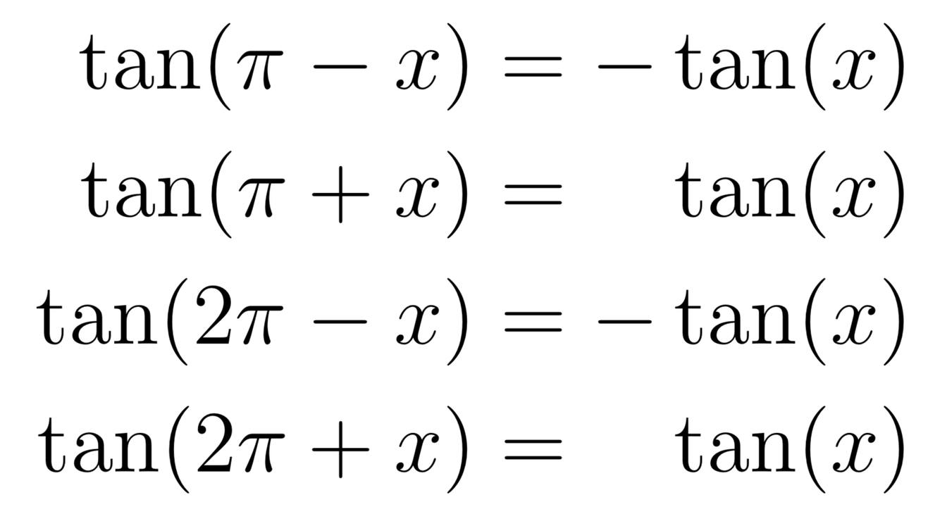
Unit circle properties: tan

A
How well did you know this?
1
Not at all
2
3
4
5
Perfectly
7
Q

2 right-angled triangle properties

A
How well did you know this?
1
Not at all
2
3
4
5
Perfectly
8
Q

Shifing cos by pi/2

A
How well did you know this?
1
Not at all
2
3
4
5
Perfectly
9
Q

Shifing sin by pi/2

A
How well did you know this?
1
Not at all
2
3
4
5
Perfectly
10
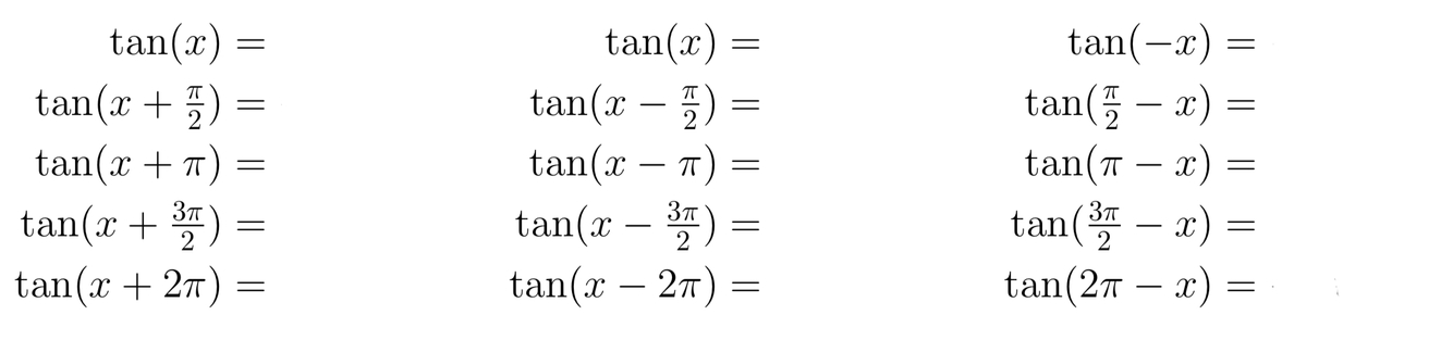
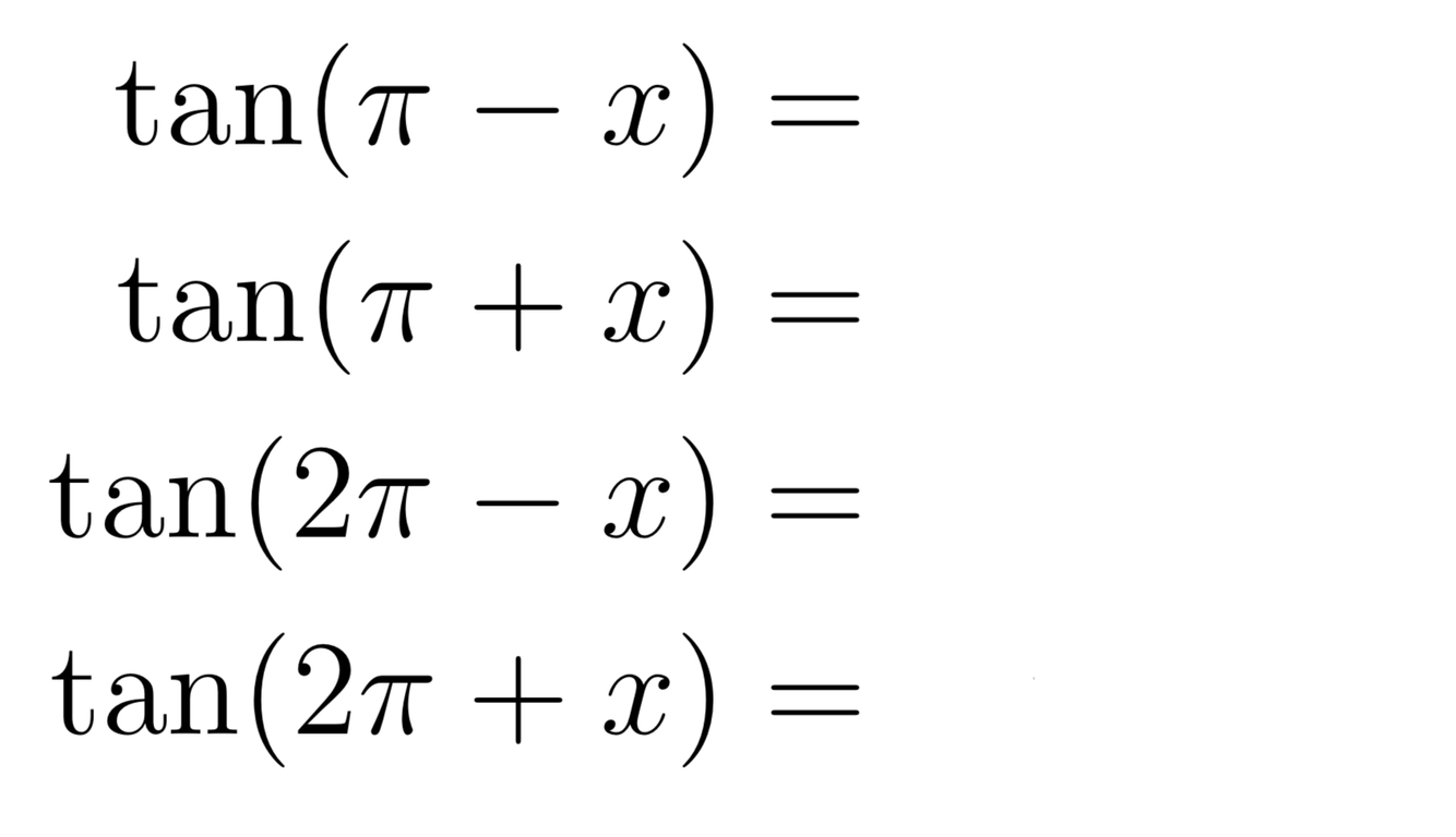
Q

Shifing tan by pi/2

A
How well did you know this?
1
Not at all
2
3
4
5
Perfectly