Non-logic/proof notes Flashcards

(21 cards)

1
Q

Change of base law

A
How well did you know this?
1
Not at all
2
3
4
5
Perfectly
2
Q

Order of graph transformations

A

See functions cards in A2 deck

How well did you know this?
1
Not at all
2
3
4
5
Perfectly
3
Q

Square root of (-5)^2

A

It’s 5, not -5

How well did you know this?
1
Not at all
2
3
4
5
Perfectly
4
Q

When does trapezium rule give over/under-estimate

A
How well did you know this?
1
Not at all
2
3
4
5
Perfectly
5
Q

Maybe know proper formula for trapezium rule

A

https://www.savemyexams.com/a-level/maths_pure/edexcel/18/revision-notes/10-numerical-methods/10-1-solving-equations/10-1-5-trapezium-rule-numerical-integration/

How well did you know this?
1
Not at all
2
3
4
5
Perfectly
6
Q

Quadrilaterial family tree

A

Using the chart below we can answer such questions as:
- Is a Square a type of Rectangle? (Yes)
- Is a Rectangle a type of Kite? (No)

How well did you know this?
1
Not at all
2
3
4
5
Perfectly
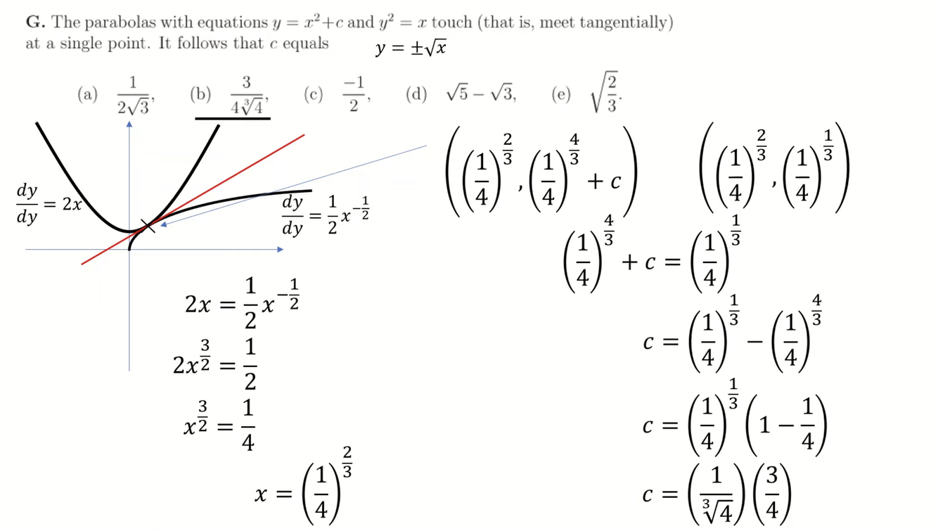
7
Q

What is the key to finding the point of intersection of these graphs?

A

Recognising that the point of intersection is where the gradients are the same (as the graphs ‘touch’ // meet tangentally)

How well did you know this?
1
Not at all
2
3
4
5
Perfectly
8
Q

Neat trick

A

Multinomial expansion

How well did you know this?
1
Not at all
2
3
4
5
Perfectly
9
Q

Relate cos and sin

A
How well did you know this?
1
Not at all
2
3
4
5
Perfectly
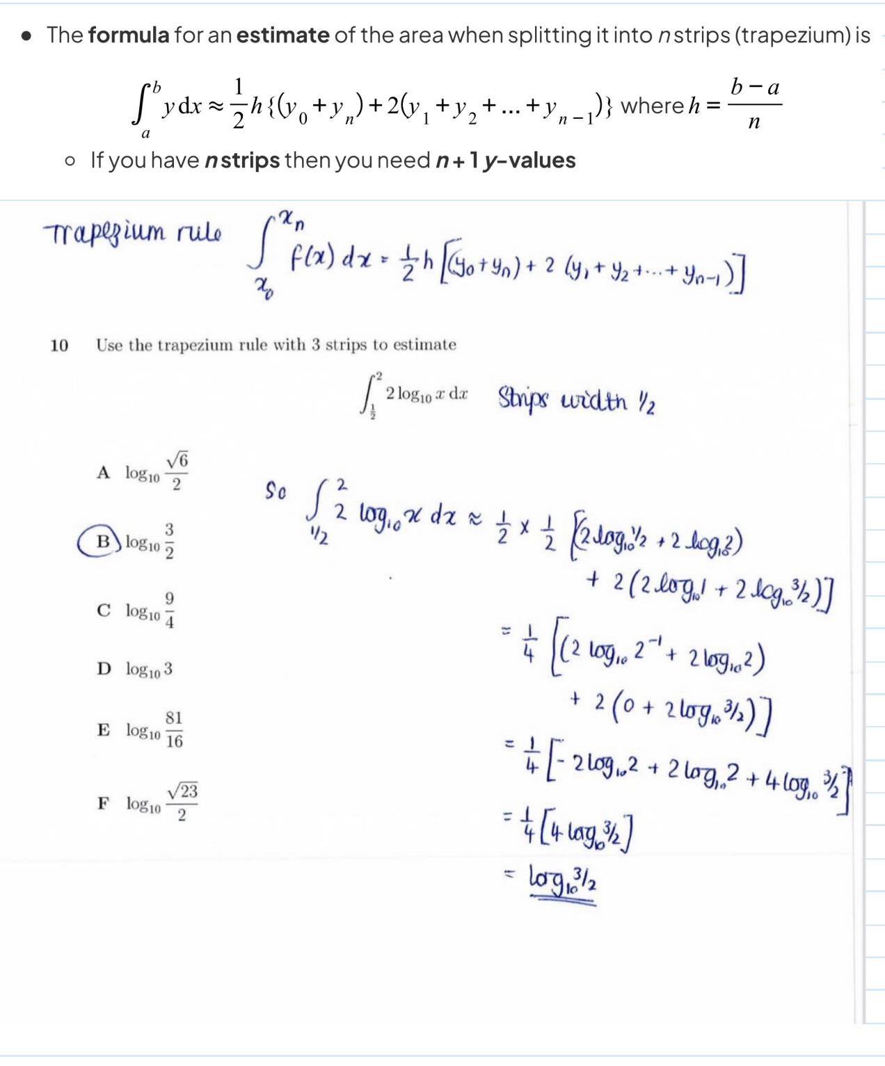
10
Q

Use trapezium rule formula to do

A
How well did you know this?
1
Not at all
2
3
4
5
Perfectly
11
Q

Know first 4 pythagorean triples

A
How well did you know this?
1
Not at all
2
3
4
5
Perfectly
12
Q

Prime numbers under 110

A

+ 101, 103, 107, 109

How well did you know this?
1
Not at all
2
3
4
5
Perfectly
13
Q

Square numbers up to 20^2

A
How well did you know this?
1
Not at all
2
3
4
5
Perfectly
14
Q

Square root approximations up to root 10

A
How well did you know this?
1
Not at all
2
3
4
5
Perfectly
15
Q

1 over root 2 // root 2 over 2

A
How well did you know this?
1
Not at all
2
3
4
5
Perfectly
16
Q

root 3 over 2

17
Q

1 over root 3 // root 3 over 3

18
Q

e and e^2

19
Q

pi and pi^2

20
Q

pi/2 and pi/3

21
Q

Swapping limits of integration