IB: 2P2: Structures Flashcards

(90 cards)

1
Q

What are the assumptions about the nature of stresses in a thin-walled section?

A
  1. Through-thickness stresses are zero
  2. The stress state is uniform through the section

Note: For the section to be “thin-walled” the wall thickness must be 10-20x thinner than the other dimensions of the structure

How well did you know this?
1
Not at all
2
3
4
5
Perfectly
2
Q

What are stiffeners used?

A
  • To prevent local buckling of the walls
  • To carry locally concentrated loads
  • As a fail-safe device
How well did you know this?
1
Not at all
2
3
4
5
Perfectly
3
Q

What is the longitudinal stress in a pipe with expansion joints?

A

Zero

How well did you know this?
1
Not at all
2
3
4
5
Perfectly
4
Q

What is the the effect of circumferential stiffeners?

A

It reduces the average hoop stress.
The hoop stress will vary along the section as the stiffeners are placed at regular intervals, therefore locally and away from the stiffeners, the hoop stress may well reach its regular value of pr/t. However on average the hoop stress will reduce.

How well did you know this?
1
Not at all
2
3
4
5
Perfectly
5
Q

What is the effect of longitudinal stiffeners?

A

It will reduce the longitudinal stress
The stiffeners will carry the same load as the skin and hence the longitudinal stress will be reduced. Unlike with circumferential stiffeners, the longitudinal stress will not vary around the section, it is reduced equally everywhere.

How well did you know this?
1
Not at all
2
3
4
5
Perfectly
6
Q

What is the centroid?

A

The position where the first moment of area is zero

How well did you know this?
1
Not at all
2
3
4
5
Perfectly
7
Q

Calculate the distribution of longitudinal stresses in a circular section due to an applied moment

A
How well did you know this?
1
Not at all
2
3
4
5
Perfectly
8
Q

What is complementary shear stress?

A

A state of simple shear requires equal shear stress on all four faces of an arbitrary
small block. Stresses τ are complementary to τ’ (and vice-versa).

How well did you know this?
1
Not at all
2
3
4
5
Perfectly
9
Q

How do you derive the formula for shear stress?

A
How well did you know this?
1
Not at all
2
3
4
5
Perfectly
10
Q

What is the equation for the shear flow?

A

q = SAₛȳ / I

How well did you know this?
1
Not at all
2
3
4
5
Perfectly
11
Q

What is the equation for shear stress?

A

τ = q / t

τ = shear stress
q = shear flow
t = thickness of the material cut by the longitudinal section (m)

Note: As you are often cutting through 2 parallel sides, t is often 2t

How well did you know this?
1
Not at all
2
3
4
5
Perfectly
12
Q

What is the effect of longitudinal stiffeners on the shear stress?

A
How well did you know this?
1
Not at all
2
3
4
5
Perfectly
13
Q

Where does the maximum shear stress occur?

A

To maximize Aₛȳ we take the cut along the neutral axis
To maximize S we must cut through the wall thickness. The minimum length cut will be perpendicular to the actual wall, hence we should use the actual, and not the
smeared thickness.

The maximum shear stress will occur along the neutral axis, perpendicular to the wall thickness.

How well did you know this?
1
Not at all
2
3
4
5
Perfectly
14
Q

Which way does the complementary shear flow around the section?

When induced by a shear force

A
How well did you know this?
1
Not at all
2
3
4
5
Perfectly
15
Q

How is torsion represented?

A
  • Double headed arrow
  • Right hand screw rule for direction
How well did you know this?
1
Not at all
2
3
4
5
Perfectly
16
Q

How does shear flow due to an applied torque vary around a thin-walled section?

A

It doesn’t. Shear flow due to applied torque is constant around a thin-walled section.

How well did you know this?
1
Not at all
2
3
4
5
Perfectly
17
Q

What is the shear flow around a thin-walled section due to an applied torque?

A

q = T/2Aₑ

T = applied torque
Aₑ = Area enclosed by the mid-thickness (centre-line) of the closed thin-walled section.

Note: As it is a thin walled section it doesnt matter too much if you use the inner, outer, or midthickness line to calculate Ae. However, you must be consistent with whatever you choose! You must keep the same consistency as when you calculated the centroid (from first moment of area) and the second moment of area.

How well did you know this?
1
Not at all
2
3
4
5
Perfectly
18
Q

What is the shear stress at a point in a thin-walled section due to an applied torque?

A

q = T/2Aₑt

T = applied torque
Aₑ = Area enclosed by the mid-thickness (centre-line) of the closed thin-walled section.
t = wall thickness

Note: As it is a thin walled section it doesnt matter too much if you use the inner, outer, or midthickness line to calculate Ae. However, you must be consistent with whatever you choose! You must keep the same consistency as when you calculated the centroid (from first moment of area) and the second moment of area.

How well did you know this?
1
Not at all
2
3
4
5
Perfectly
19
Q

When does this formula apply to a thin walled section?

A

When it is closed

How well did you know this?
1
Not at all
2
3
4
5
Perfectly
20
Q

What is the effect of stiffeners on the shear stress in a thin-walled section from an applied torque?

A
How well did you know this?
1
Not at all
2
3
4
5
Perfectly
21
Q

How would you calculate the shear stress in the below scenario?

A
How well did you know this?
1
Not at all
2
3
4
5
Perfectly
22
Q

What is shear strain?

A

For small strains, the shear strain γ is the change in angle between faces that were originally perpendicular.

How well did you know this?
1
Not at all
2
3
4
5
Perfectly
23
Q

What is the material model for stress-strain relationships?

A
  • Linear-elastic: Elastic - deformation disappears when the load is removed. Linear - stress-strain curve is a straight line.
  • Homogenous: Doesn’t vary with position
  • Isotropic: Doesn’t vary with direction (Not true for fibre reinforced materials)
  • Time-independent: No creep
How well did you know this?
1
Not at all
2
3
4
5
Perfectly
24
Q

What is the normal strain on each face due to uniaxial normal stress?

A
How well did you know this?
1
Not at all
2
3
4
5
Perfectly
25
What is the normal strain due to a temperature change?
α = coefficient of linear expansion
26
What is the normal strain on a face due to 3 perpendicular normal stresses and a temperature change?
27
Can a a normal stress or a temperature change cause a shear strain in an isotropic material?
No, in an isotropic material, there is never any shear strain due to a normal stress or a temperature change
28
How does shear stress cause a strain? | Include the relevant equation
A shear stress on the x-face acting in the y direction (and its complementary stress on the y-face in the x direction) will cause a shear strain in the x-y plane, but no shear strains on the y-z or z-x planes. **γₓᵧ = τₓᵧ / G** γᵧ𝓏 = γ𝓏ₓ = 0 Similarly, this shear stress induces no normal strains, εₓₓ = εᵧᵧ = ε𝓏𝓏 = 0
29
What is the equation for shear modulus, G?
30
Determine, in terms of the strains, the change in: * Length * Circumference * Radius * Volume
31
Derive the expression for the torsional rigidity (or torsional stiffness) for this uniform thin-walled **circular** section
32
What is the torsional rigidity (torsional stiffness) of a thin-walled section?
**T/φ** The torsion (T) per twist per unit length (φ)
33
What is the expression for the torsional rigidity (torsional stiffness) of any general thin walled section?
**T/φ = GJ** T = torque φ = twist per unit length G = shear modulus J = torsion constant
34
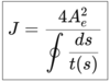
What is the expression for the torsion constant, J, for a closed thin-walled section?
## Footnote IMPORTANT
35
How is the expression for the torsional rigidity of any closed thin-walled section derived?
36
What is the torsional rigidity of this section?
37
When can the torsional rigidity results for thin sections can be used to make calculations for thick, or solid sections?
When the section has a circular symmetry
38
How can you use the torsional rigidity result for a thin-walled circular section to make calculations for thick, or solid sections?
39
For circular shafts, what is the shear stress given by?
40
What is the notation used for shear stress?
41
What is the general state of stress in 2D?
42
How do you calculate the stresses at an angle to one of the faces?
You must balances the **forces**. Dimensions x Stress = Force
43
What is the sign convention for shear stress on Mohr's circle?
Shear stress is plotted **positive** when it is acting **clockwise**
44
What are the properties of Mohr's circle of stress?
45
How do you plot Mohr's circle of stress?
* You can plot the stress transformation (equilibrium) equations, plotting the stress point (σ,τ) for every 0 ≤ θ ≤ π. Each point is plotting the stresses on one pair of opposite face. This is best done by computer. * Alternatively (and as you should do if doing it by hand), if you calculate the stresses for two perpendicular faces (π/2 rad or 90° apart), you will obtain two points that lie at opposite ends of a diameter of the circle. You can simply join these points with a straight line. The midpoint of this line is the centre of the circle. You can then draw the circle.
46
What are the principal stresses?
For any state of stress, there will be three perpendicular directions on which faces there are no shear stresses. These directions are called the principal stress directions. On these faces the only stress is a normal stress, and these three stresses are called the principal stresses.
47
What is the 3D stress state?
48
What is the 3D Mohr's circle?
49
What can you use Mohr's circle to rotate about?
The principal axis
50
What are the possible stress states from Mohrs circle?
* For a 2D Mohrs circle, the possible stress states lie anywhere along the perimeter of the circle * For a 3D Mohr’s circle, the possible stress states are bounded by the largest circle, they lie anywhere within the largest circle (including within the two smaller circles). The two smaller circles indicate stress states for planes which have been rotated about the other 2 principal axis.
51
What is the sign convention for Mohr's circle of strain?
Shear strain is plotted as positive when the centre of the face has moved in a clockwise direction realtive to the centre of the square
52
What are the properties of Mohr's circle of strain?
53
How do you plot Mohr's circle of strain?
* You can plot the strain transformation (compatability) equations, plotting the strain point (ε, **γ/2**) for every 0 ≤ θ ≤ π. Each point is plotting the strain on one pair of opposite face. This is best done by computer. * Alternatively (and as you should do if doing it by hand), if you calculate the strain for two perpendicular faces (π/2 rad or 90° apart), you will obtain two points that lie at opposite ends of a diameter of the circle. You can simply join these points with a straight line. The midpoint of this line is the centre of the circle. You can then draw the circle. Each point represents the normal strain ε and half the shear strain γ/2 acting on a pair of opposite faces oriented at angle θ
54
What is key to remember for Mohr's circle of **strain**?
The y-axis is **half** the shear strain
55
What is are the principal strain directions?
For any state of strain, there will be three perpendicular directions in which there is no shear strain. These directions are called the principal strain directions. In these directions, the only strain is a normal strain, and these three strains are called the principal strains.
56
When do the principal strain directions and principal stress directions coincide?
When the material is **isotropic**
57
What are strain gauges?
Resistance strain gauges are commonly used for measuring the surface strains on a body. They rely on the fact that the resistance of a wire, when stretched, will increase. To increase the sensitivity, the wire is run backwards and forwards, but in as compact an area as possible; the change in resistance is then measured by a Wheatstone bridge. **Strain gauges can only measure normal strain along the length of the gauge.**
58
How do strain gauges measure shear strain?
They require three measurements from a strain gauge rosette
59
How does the 45° rosette work?
60
How does the 60° rosette work?
61
What are the 2 yield criterion for a material which is in a multiaxial yield state?
* Tresca yield criterion * Von Mises yield criterion
62
What is the Tresca yield criterion?
A body will yield when the maximum shear stress reaches a critical value. ## Footnote Where Y is the uniaxial yield strength of the material
63
What is the Von Mises yield criterion?
A body will yield when the strain energy of distortion reaches a critical value. ## Footnote Where Y is the uniaxial yield strength of the material
64
How can the Tresca yield criterion be visualised? | Plot the yield surface on an interaction diagram
* If σ₃ = 0, it can be visualised by the dotted lines * If σ₃ ≠ 0, the basic shape of the yield criterion will be unaffected, but the vertical and horizontal lines will all be offset by σ₃. This is the solid line **Inside the shape is safe, outside the shape is unsafe**
65
How can the Von Mises yield criterion be visualised?
* If σ₃ = 0, it can be visualised by the dotted lines * If σ₃ ≠ 0, the basic shape of the yield criterion will be unaffected, but it will all be offset by σ₃ both vertically and horizontally. This is the solid line **Inside the shape is safe, outside the shape is unsafe**
66
What is the comparison of the Von Mises and Tresca yield criterion?
They are in fairly good agreement, with the maximum discrepancy occuring at pure shear (where σ₁ = -σ₂) where the difference is about 15%.
67
For a statically determinate structure, what is the equilibrium matrix?
It is square and non-singular, there will be a unique solution for any possible loading
68
What is a statically indeterminate structure?
A structure where the state of the structure cannot be found by equilibrium alone. To proceed, we need to also consider the load-deflection characteristics of each member, and the overall compatability of the structure. Although are infinitely many sets of tensions in equilibrium with the applied load, only one of them will lead to a structure that still fits together.
69
How do you find the state of a statically indeterminate pin-jointed truss?
**A) Number of redundancies:** 1, Determine the number of redundancies, either by Maxwells equation or by intuition. This is the number of bars that must be removed (without the structure becoming a mechanism) before the structure beomes statically determinate. 2, Maxwells equationL s - m = b - 2j + r. Where s = number of redundancies, m = number of mechanisms, b = number of bars, j = number of joints, r = number of restraints **B) Setup (long method):** 1, Write the equilibrium equations at all joints 2, Create a matrix equation 3, Apply Gaussian elimination to the equilibrium matrix as far as possible (going any further would undo previous progress). 4, When it can go no further, designate the bar of the column you have stopped at as a redundant bar. 5, Rewrite the equilibrium equations with the redundant bar removed, create the matrix equation, and repeat. 6, Repeat steps 4 and 5 until you have found r redundancies **C) Particular Solution:** 1, Set the tension values of the redundant bar's to zero 2, Solve the simultaneous equations to find a "particular solution", **t₀** **BC)** Alternatively, you can find the redundant bar's by intuition, set the tensions to zero, and then find a particular solution simply by using truss analysis. THIS IS OFTEN EASIER. **D) State of self-stress:** 1, Set the tension value of one of the redundant bars to be 1, keeping the rest as zero 2, Set the loads to be zero (right hand side of equilibrium equations) 3, Solve the simultaneous equations to find the "state of self-stress", **sᵢ** 4, Repeat this for each of the redundant bars **E) General Solution:** 1, The general solution is thus: **t** = **t₀** + x₁**s₁** + x₂**s₂** + ... + xₙ**sₙ** **F) Elastic solution:** 1, The extension of the bars can be written as **e** = **Ft** + **e₀**, where **F** is the flexibility matrix (it is "length/AE" of each member across the leading diagonal of the matrix, everything else is zero), and **e₀** is any intial misfit (bar is too long or short) 2, Substitute **t** = **t₀** + x₁**s₁** + x₂**s₂** + ... + xₙ**sₙ** into the above equation 3, This gives: **e** = **Ft₀** + x₁**Fs₁** + x₂**Fs₂** + ... + xₙ**Fsₙ** + **e₀** **G) Virtual work to solve for x:** 1, Use the virtual work equation: **sᵢ · e** = **f · δ**, which reduces to **sᵢ · e** = 0 as a state of self stress does no external work. **sᵢ** is the state of self stress for each redundant bar, **e** is the extension matrix we have just found. 2, Solve for each value of x by using each state of self stress **H) Complete solution:** 1, Substitute the values of x back into **t** = **t₀** + x₁**s₁** + x₂**s₂** + ... + xₙ**sₙ** to find the forces in every bar 2, We can find the extensions in the bar by subbing the true **t** back into **e** = **Ft** + **e₀**
70
What is the "state of self stress"
A homogeneous solution for a statically indeterminate truss that is in equilibrium with zero applied load
71
How can you find deflections in statically indeterminate structure?
Virtual work (or displacement diagrams)
72
What is Gaussian elimination and how do you do it?
Gaussian elimination is a method for solving systems of linear equations, it simplifies the system using row operations without changing the solution. * Write the equations as a matrix * Use row operations (addition and subtration of rows) to make zeros below the main diagonal, the main diagonal must be non-zero
73
How can you calculate deflections of a statically determinate beam?
1. Differential equations 2. Databook 3. Virtual work
74
How can you calculate deflections of a statically determinate beam using differential equations?
75
What is the virtual work equation for a beam?
76
How can you calculate deflections of a statically determinate beam using virtual work?
77
What method should you use for calculating the deflection and rotation of statically determinate beams?
* For straight beams, using the databook will almost always be the simplest method * For curved beams or beams with varying cross sections, either the differential equations method or the virtual work method should be used. Virtual work method is usually simpler
78
79
What is the sign convention for bending moments on frames and ring structures?
80
How do you analyse a statically indeterminant beam?
* Make the structure statically determinate by removing a redundancy * Reimpose the force we have removed, ensuring that it maintains compatability * Consider the loading as the superposition of the two loading cases
81
How can you remove reduncancies in a beam or frame structure?
82
How can you remove redundancies from a portal frame structure to make it statically determinate?
83
How can you remove redundancies from a multi-span beam?
84
What is the force method for indeterminate beam and frame structures?
85
What is an important implication of redundant structures?
It is possible to have internal forces within the structure, with no external loading being applied. These may exist because of: * Settlement of supports * The structure not fitting together before it was assembled ("Lack of fit") * Temperature changes In a determinate structure, the structure could deform to take account of these effects. In an indeterminate structure, the structure cannot freely adjust and so a state of self stress results.
86
For a beam, in which direction is the extension due to a temperature change?
Along the length of the beam, it will not cause any extension perpendicular to the length of the beam
87
Determine the support reactions
88
What are symmetric and antisymmetric structures?
* Anything symmetric is preserved by reflection of the structure in its plane of symmetry * Anything antisymmetric is reversed by reflection of the structure in its plane of symmetry
89
What is the useful property or unsymmetric loads or displacements?
Any unsymmetric load or displacement can be split into a symmetric and an antisymmetric component.
90
Why can symmetry help with structural analysis?
A symmetric structure, subject to symmetric loads: * Will only have symmetric internal forces * Will only undergo symmetric displacements A symmetric structure, subject to antisymmetric loads: * Will only have antisymmetric internal forces * Will only undergo antisymmetric displacements