IB: 2P4: Thermofluids Flashcards

(148 cards)

1
Q

Where do irreversibilities occur in a heat engine?

A

In the turbine and compressor

How well did you know this?
1
Not at all
2
3
4
5
Perfectly
2
Q

How are entropy and the irreversibility of a system related?

A
  1. Reversible processes can be viewed as the theoretical ideal limit
  2. Irreversible processes (e.g. viscous dissipation) create entropy
  3. Entropy convects like “smoke”. It is being continually created wherever something deleterious to machine efficiency is taking place.
  4. The difference between “ideal” power and “real” power is set by the increase in entropy from inlet to exit
  5. The aim of a designer is to minimise entropy creation
How well did you know this?
1
Not at all
2
3
4
5
Perfectly
3
Q

What does the enthalpy balance equation (first law) determine?

A

The quantity of energy

How well did you know this?
1
Not at all
2
3
4
5
Perfectly
4
Q

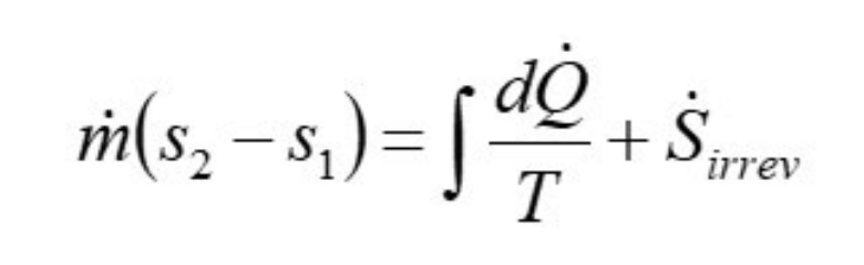
What does the entropy balance equation (second law) determine?

A

The quality of energy

How well did you know this?
1
Not at all
2
3
4
5
Perfectly
5
Q

What is the equation for entropy in terms of microstates?

A

S = kʙ Ln(Ω)

Ω = number of microstates

How well did you know this?
1
Not at all
2
3
4
5
Perfectly
6
Q

What are 3 analogies for entropy?

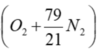
A
  • Entropy is a measure of disorder
  • Entropy is the dispersal of energy
  • Entropy is the energy quality, the lower the entropy the higher the quality
How well did you know this?
1
Not at all
2
3
4
5
Perfectly
7
Q

What are 3 flow processes in which entropy creation is considered?

A
  1. Viscous dissipation in boundary layers
  2. Viscous mixing of flows of different velocities
  3. Heat transfer across a finite temperature difference, ΔT
How well did you know this?
1
Not at all
2
3
4
5
Perfectly
8
Q

Despite the Tds equations being derived from reversible processes, why can they be used for irreversible processes?

A

Entropy is a property of state, not a process

How well did you know this?
1
Not at all
2
3
4
5
Perfectly
9
Q

What is are the key assumptions when modelling a throttle?

A
  • Isenthalpic, h₁ = h₂
  • Irreversible, s₂ > S₁
  • Adiabatic and no work transfer, Q̇ = 0, Ẇ = 0
How well did you know this?
1
Not at all
2
3
4
5
Perfectly
10
Q

What does the second law tell us about the value of energy?

A

Work has more value than heat

How well did you know this?
1
Not at all
2
3
4
5
Perfectly
11
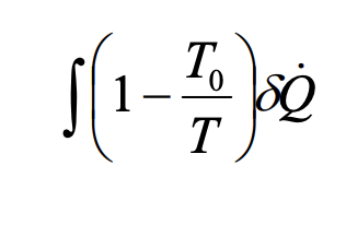
Q

What is the equation for the maximum available power from a simple heat input?

If the temperature remains constant

A

If a control volume received heat Q̇ from a resevoir at temperature T, and the environment is at a temperature T₀, the maximum (reversible) power available from the heat is:

T → ∞ : Q̇ is as good as Ẇ T → T₀ : Q̇ is useless
How well did you know this?
1
Not at all
2
3
4
5
Perfectly
12
Q

What is the expression for the maximum power from a steady flow device between states 1 and 2?

A

The maximum available power that can be extracted from a steady flow device between states 1 and 2, per mass flow rate, is:
Ẇₘₐₓ₁₂ = ṁ(b₁ - b₂) = ṁ[(h₂ - T₀s₂) - (h₂ - T₀s₂)]

How well did you know this?
1
Not at all
2
3
4
5
Perfectly
13
Q

Derive the equation for the maximum power available from a steady flow device between states 1 and 2:
Ẇₘₐₓ₁₂ = ṁ(b₁ - b₂) = ṁ[(h₂ - T₀s₂) - (h₂ - T₀s₂)]

A
How well did you know this?
1
Not at all
2
3
4
5
Perfectly
14
Q

What is the dead state?

A

When a fluid is in equilibrium with the environment p₀, T₀ it is said to be at the dead state. At the dead state the fluid has no available power

How well did you know this?
1
Not at all
2
3
4
5
Perfectly
15
Q

What is the specific steady-flow exergy, e₁?

A

The maximum available power per unit mass flow rate that can be extracted from a fluid at a state 1. It is the difference in between b (the specific steady flow availability function) at state 1 and the dead state:

How well did you know this?
1
Not at all
2
3
4
5
Perfectly
16
Q

Explain what each part of this equation accounts for ( equation for the maximum power available from a steady flow device between 2 states)

A
  • The difference in enthalpy ṁ(h₁ - h₂) is the total energy flow rate change between the 2 states
  • T₀ṁ(s₁ - s₂) is the energy flow rate unavailable for work

Maximum available power = difference in enthalpy - energy flow rate unavailable for work

How well did you know this?
1
Not at all
2
3
4
5
Perfectly
17
Q

What is the equation for the maximum available power from a simple heat input if the temperature does not remain constant?

A
How well did you know this?
1
Not at all
2
3
4
5
Perfectly
18
Q

What is the loss of available power due to irreversibility given by?

A
How well did you know this?
1
Not at all
2
3
4
5
Perfectly
19
Q

How do you approach a thermodynamics question?

A
How well did you know this?
1
Not at all
2
3
4
5
Perfectly
20
Q

What is the equation for the isentropic turbine efficiency?

A

ηᴛ = (T₃ - T₄) / (T₃ - T₄ₛ)
ηᴛ = real work / ideal work

How well did you know this?
1
Not at all
2
3
4
5
Perfectly
21
Q

What does the irreversible Joule cycle look like?

A
How well did you know this?
1
Not at all
2
3
4
5
Perfectly
22
Q

What is the equation for the isentropic compressor efficiency?

A

ηc = (T₂ₛ - T₁) / (T₂ - T₁)
ηc = ideal work / real work

How well did you know this?
1
Not at all
2
3
4
5
Perfectly
23
Q

What is the difference between isentropic compressor efficiency and isentropic turbine efficiency?

A
  • Compressor efficiency: ratio of ideal to actual work input.
  • Turbine efficiency: ratio of actual to ideal work output.
How well did you know this?
1
Not at all
2
3
4
5
Perfectly
24
Q

How do you approach a question with an irreversible turbine or compressor?

A
  • Approach the question as if the turbine/compressor was ideal (isentropic)
  • Use the isentropic efficiency to relate the real process to the ideal process
How well did you know this?
1
Not at all
2
3
4
5
Perfectly
25
Whats the difference between a gas turbine and a jet engine?
26
What is the equation for an availability analysis of a gas turbine?
27
What does applying an availability analysis to a gas turbine allow us to do?
It allows us to examine where the available power transferred in the engine as heat goes
28
What is the difference between first law and second law efficiency?
* First law efficiency focuses on **total** energy input * Second law efficiency focuses on **available** energy input
29
What is a working fluid?
A fluid whose function is to provide a medium for the transfer of heat and work
30
What is the state principle?
In the absence of external effects, the state of a pure substance is fixed by the values of 2 independent properties. This allows us to say p = f(T,v) etc
31
What is a p-v-T surface?
From experiments it is known that the temeprature and specific volume can be regarded as independent and pressure determined as a function of these two. p = p(T,v). The graph of such a function is a surface, the p-v-T surface. * The saturation state is a state at which phase change starts and ends * The vapour dome is the region composed of the two-phase liquid-vapour states. The saturated liquid and vapour lines are the lines bordering the vapour dome * The critical point is the point where the saturated liquid and vapour lines meet. The critical temperature ofa. pure substance is the maxiumum temperature at which liquid and vapour
32
What is a p-v diagram?
It is a p-v-T surface projected onto the p-v plane:
33
What is a wet saturated fluid?
A liquid at the saturation temperature and pressure, ready to vaporize and enter the 2 phase region. It is sat on the saturated liquid line.
34
What is a dry saturated fluid?
A gas at the saturation temperature and pressure, ready to condense and enter the 2 phase region. It is sat on the saturated vapour line.
35
What is a superheated vapour?
Vapour heated above the saturation temperature for a given pressure.
36
What is a subcooled liquid?
Liquid cooled below the saturation temperature for a given pressure.
37
What is the critical point on a p-v diagram?
The point with the maximum temperature at which liquid and vapour phases can exist. Above this point no distinction can be made between liquid and vapour and it is known as a supercritical fluid.
38
What is true about pressure in a 2-phase region?
It is constant
39
What is a T-v diagram?
It is a p-v-T surface projected onto the T-v plane:
40
What is a p-T diagram?
It is a p-v-T surface projected onto the p-T plane, it is also known as a phase diagram as all 3 phases are separated by lines:
41
What is the dryness fraction and when is it used?
A substance in the two-phase liquid-vapour region consists of both liquid and vapour coexisting in equilibrium. x is known as the dryness fraction, where each 1kg of mixture contains xkg of vapour and (1-x)kg of liquid.
42
What is the dryness fraction on the saturated lines?
* Wet saturated: x = 0 * Dry saturated: x = 1
43
What tables/graphs does the databook contain?
Lots, almost all information can be obtained from these: * Properties of saturated water & steam * Specific enthalpy of (not saturated) water & steam * Specific entropy of (not saturated) water & steam * Density of (not saturated) water & steam * Specific internal energy of (not saturated) water & steam * Transport properties of (not saturated) common gases * Properties of R-134a The key point is to use the tables and graphs in the data book!!!
44
How do you extract a value if it lies between tabulated values in the databook?
**Interpolation** (required only once for saturated fluid, potentially twice if not saturated)
45
What are the working fluid problems of trying to operate an ideal carnot cycle?
* Significant practical problems with developing pumps that operate in the two-phase region * Turbine blades operating in a two-phase region can be eroded by impingement of liquid droplets on the blade * The heat additions is limited to the critical point value, this limits the maximum temperature of the heat addition and thus the carnot efficiency
46
What is the rankine cycle?
* 1→ 2: Pump * 2 → 3: Heat addition * 3 → 4: Turbine * 4 →1 : Condenser
47
What are the advantages and problems of the rankine cycle?
Advantages: * Takes advantage of heat transfer at lower temperature * Pump in single phase region Problems: * Turbine in two phase region results in high blade erosion
48
What is the superheated rankine cycle?
* 1→ 2: Pump * 2 → 3: Heat addition * 3 → 4: Turbine * 4 →1 : Condenser
49
What are the advantages of the superheated rankine cycle?
Boiler heats into the superheated region: * Turbine operates in less of the two phase region * Average temperature of heat input rises and so efficiency rises
50
What is the working fluid in the rankine cycle?
Steam
51
How can you increase the efficiency of a power generation cycle?
* Raise the average temperature of heat addition (T higher for Qin) * Lower the average temperature of heat rejection (T lower for Qout)
52
What is the ideal reheat rankine cycle?
Key role of reheat: * Allows the boiler pressure to be far higher, increasing the temperature of Qin, and reheating vastley reduces the amount that the turbine has to operate in the 2 phase region
53
What is the benefit of multiple reheats in the reheat rankine cycle?
* The average T at which Qin occurs is raised by multiple reheats However: * The benefit of the 2nd reheat is around half of the first reheat and so on... * Therefore, the use of more than two reheats is not practical
54
What is the combined gas-vapour power cycle?
**The heat rejection (Qout) from a gas turbine is used to heat (Qin) a rankine cycle.** Gas turbines have a high average T of Qin but problem is the exhaust temperature is very high, by using this rejected heat as Qin for the rankine cycle it can greatly increase the efficiency.
55
What is the heat exchanger used to transfer heat from the gas turbine cycle to the rankine cycle in the combined gas-vapour power cycle?
**HRSG (Heat Recovery Steam Generator)** An HRSG is a heat-exchanger which exchanges heat from the exhaust gas of the gas turbine to the boiler of the Rankine cycle. The HRSG is a counter flow heat-exchanger. This means that the gas (hot side), supplied by the gas turbine exhaust, enters at one end and the water (cold side), in a steam boiler, enter at the opposite end. The aim of the heat-exchanger designer is usually to minimise the temperature difference between the hot and cold flow at each point through the device. This lowers the "finite temperature difference" over which the heat transfer occurs and thus lower the irreversible entropy generation.
56
What is a T-x diagram? ## Footnote and what is the pinch point?
A T-x diagram is a diagram used to analyse heat-exchangers. It can almost be through of as a temperature distance graph through the HRSG (although strictly speaking rather than "distance" it is the fraction of heat transferred). The pinch point is the closest temperature between the two streams and it is the point at which water becomes saturated.
57
How do you analyse an HRSG using a T-x diagram?
You can equate the heat flows between the two streams of the heat exchanger. ## Footnote NOTE: Final equation should be "... cp Ln (T9 / T8) ....", not s9/s8
58
What are the differences between a refrigerator and a heat pump?
* For a refrigerator you are concerned with Qcold * For a heat pump you are concerned with Qhot
59
What is the worst case scenario for the COP of a heat pump and a refrigerator?
Worst case scenario: * COPʀ = 0 * COPʜᴘ = 1
60
Why cant Q flow from cold to hot without a work input?
61
What is the real refrigeration cycle? ## Footnote Include T-s and p-h diagrams
62
What is the symbol for a throttle?
63
What is gas refrigeration?
64
What is the number of moles in a fraction of a mixture given by?
65
What are the expressions for the mass fraction and the mole fraction?
66
What is the partial pressure of a gas?
The pressure of a component of a gas mixture if it was to singly occupy the container at a volume equal to that of the mixture and a temperature equal to that of the mixture. The sum of all the partial pressures is the total pressure of the mixture.
67
What are the expressions for partial pressure and partial volume?
68
How can you calculate U, H, S, cv, cp, and R of a mixture of gases?
69
When evaluating properties and states of a mixture of gases, what is important to remember?
* Molar Fraction: p, v * Mass Fraction: u, h, s, cv, cp, R
70
How does a mixture of dry air and water vapour become saturated?
**Evaporation of liquid water** * If there’s a liquid water layer in the container, water will evaporate into the air, raising the partial pressure of the water vapour * Evaporation continues until the partial pressure of water vapour equals the saturation pressure at the given temperature T. * At this point, equilibrium is reached, and the air is saturated. **Increasing the total pressure** * If you compress the mixture (increase total pressure) without changing temperature, the partial pressure of water vapour rises. * When the water vapour partial pressure reaches the saturation pressure at that temperature, the mixture becomes saturated. **Lowering the temperature** * The saturation pressure of water vapour decreases with decreasing temperature. * If you cool the mixture at constant total pressure, eventually the partial pressure of water vapour equals the (lower) saturation pressure, and condensation begins. * The air becomes saturated as it cools. ## Footnote This is conceptually identical to just the saturation of steam! However, instead of considering the pressure we must look at the partial pressure as it is a mixture of gases.
71
What is the dew point temperature?
The temperature at which air becomes saturated with water vapour if it is cooled at constant pressure.
72
What is the specific humidity, ω? | Also known as humidity ratio
**ω = mᵥ / mₐ** Where: mᵥ = mass of water vapour mₐ = mass of air
73
What is the relative humidity, φ?
**φ = nᵥ / nᵥ,ₛₐₜ** The ratio of the moles of vapour to the moles of vapour necessary to saturate
74
What is the stoichiometric combustion equation?
The balanced chemical equation where a fuel reacts with exactly the right amount of oxygen required for complete combustion, there is no excess oxygen and no unburned fuel.
75
What is the expression for air in a combustion equation?
Air is assumed to be 21% oxygen and 79% Nitrogen. You must use this expression in the equation, simply using a multiple outside the brackets to establish how many moles are needed.
76
What is the air fuel ratio?
## Footnote Defined as ratio of masses (not moles)
77
What happens in combustion reactions with excess air (lean combustion)?
You simply have unburnt oxygen in the products
78
What is Lambda (λ) for combustion reactions?
* λ > 1: Combustion is lean * λ = 1: Combustion is stoichiometric * λ < 1: Combustion is rich
79
What does it mean when combustion is lean (λ >1)?
Excess oxygen
80
What does it mean when combustion is rich (λ<1)?
Excess fuel
81
What is the equivalence ratio (φ) for combustion reactions?
82
What happens in combustion reactions with excess fuel (rich combustion)?
Carbon Monoxide (CO) and Carbon Dioxide (CO₂) are formed. The amount of moles can be calculated by simultaneous equations formed from equating the moles of carbon and oxygen on each side of the equation
83
What are a wet and dry basis for combustion?
* Wet basis: Water vapour is formed, therefore you **do** include H₂O in any gas calculations * Dry basis: Liquid water is formed, therefore you **do NOT** include H₂O in any gas calculations
84
How can you determine the temperature of a gas after combustion?
Split the combustion into three processes: 1, Heat removed so reactants brought from initial state (R1) to 25°C (R0). * This must account for the heat removed to change the temperature (ṁ x cp x ΔT) * and the latent heat if there is a change of state (ṁ x latent heat). 2, Heat removed so that combustion occurs at constant 25°C (R0 to P0). * If this is a stoichiometric reaction you can determine the change in enthalpy from the "combustion" section of the data book * if it is not stoichiometric, but is oxygen rich, the enthalpy change would be the same as that of the stoichiometric reaction * If it is not stoichiometric, but is fuel rich, this is more difficult!! Using the combustion section in the databook, you must construct the equation by adding or subtracting the equations of formation of carbon monoxide and carbon dioxide to the stoichiometric equation to form the real reaction equation. The corresponding enthalpy change will then be the sum (or difference) of the enthalpy values. 3, Heat added so combustion products raised to final T (P0 to P2). * This can be calculated from the "molar enthalpies at low pressures" table in the databook as it contains all the products of combustion. * Alternatively, you could the same method as part 1 and account for the heat removed to change the temperature (ṁ x cp x ΔT) , and also the latent heat if there is a change of state (ṁ x latent heat).
85
For combustion reactions, what is the basis enthalpys are calculated on?
1kmol of fuel
86
What is the mean free path of a gas?
The average distance a molecule moves before a collision with another molecule. This is far larger than the molecule diameter.
87
Where do all the macroscopic properties of a gas arise from?
Its molecular nature, you can derive equations such as ideal gas equation of state or the specficic heat capacity by considering the gas at its molecular level.
88
What is the Knudsen number, Kn?
The ratio of the mean free path (λ) to the size of the region we are considering (L) Kn = λ / L
89
What is the continuum model of a gas?
The continuum model of a gas is the assumption that a gas can be treated as a continuous medium, rather than as discrete molecules. This is done by averaging out all the molecular velocities around a point in space and saying the fluid has a certain velocity at this point in space. It has a certain velocity field
90
When is the continuum model of a gas valid?
**Kn << 1** When we average over very many molecules and very many collisions. This requires the Knudsen number to be much less than 1. For example, the continuum model would break down for gases at extrememly low pressures, or for flows in extremely small domains.
91
What happens when a solid is subjected to a shear stress?
Each layer of the brick experiences the same shear stress and hence can support shear in static equilibrium. This is because its molecules are held togther by rigid bonds.
92
What happens when a viscous fluid is subjected to a shear stress?
The fluid would flow and form a new shape. In this new shape, at static equilibrium, there is no shear stress. This is because the molecules in the fluid do not have defined positions, when one layer is displaced with respect to another, the two flow over each other to accomodate the displacement. During motion, there is a shear stress until statical equilibrium is reached. **A viscous fluid cannot support shear in static equilibrium as its molecules are not held by rigid bonds.**
93
What is the equation for shear stress in a fluid?
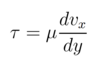
τ = shear stress μ = dynamic viscosity dvₓ/dy = velocity gradient normal to the flow direction (flow in x direction, gradient in y direction)
94
What is the dynamic viscosity (μ) a function of?
Temperature μ = f(T)
95
How does viscosity, μ, vary with temperature for a fluid?
* In gases, viscocity increases with temperature as the average molecular speed increases and the momentum transfer per unit time therefore increases. * In liquids, it decreases with increasing temperature, as molecules in a liquid do not simply bounce off each other but form temporary bonds with one another which enhance the transfer of momentum.
96
What is a newtonian fluid?
A fluid where the rate of momentum transfer is proportional to the velocity gradient. i.e. it obeys the law "τ = μ dvₓ/dy"
97
What is a non-newtonian fluid?
A fluid where the rate of momentum transfer is **not** proportional to the velocity gradient. i.e. it does not obeys the law "τ = μ dvₓ/dy". This often occurs if the fluid has molecules that are long chains or the fluid contains small suspended solids, these can align or distort with the flow direction so the viscocity depends on the velocity gradient.
98
What is a shear-thickening fluid?
A non-newtonian fluid where the viscocity increases with the velocity gradient.
99
What is a shear-thinning fluid?
A non-newtonian fluid where the viscocity decreases with the velocity gradient.
100
What is the relationship between ∇p and the contour lines of the scalar field p
Orthogonal
101
Derive the differential form of the law of conservation of mass
102
What is incompressible flow?
Flow where the fluid is of constant density
103
What does the continuity equation become for incompressible flow?
104
How can you use a combination of sinks and sources of flowrates to represent solid obstacles?
Stagnation points are created from the combination of the sink and sources, and then a constant velocity stream to the right. The streamlines joining these two stagnation points behave like a solid obstacle against the flow.
105
What is the vorticity of flow?
The curl of the velocity field. Its magnitude is equal to twice the angular velocity of the fluid and it is orientated along the local axis of rotation of the flow
106
When can bernoullis equation be applied **across** streamlines?
When the vorticity is zero
107
What is the advection?
A scalar operator that gives the variation of a scalar field (such as height) following **v**
108
What is a fluid parcel/particle?
A "blob" of fluid small enough that it can be considered as a point moving through the fluid on a macroscopic level, but large enough that it contains a large number of molecules on the microscopic scale.
109
What is the material derivative?
110
How can the material derivative act on a vector field (such as velocity)?
111
What does the partial time derivative of velocity describe for fluid flow?
* This measures the change at a fixed point in space. * It is the Eulerian viewpoint. * For steady flow, this would be zero. * It does not represent the acceleration of a fluid particle by itself.
112
What does the total derivative (particle derivative) of velocity describe for fluid flow?
* This measures the change following a specific fluid particle * It is the Lagrangian viewpoint * It gives the actual acceleration of a particle
113
What does the material derivative of velocity describe?
* This measures the change following a particle, but computed using field data * It is the Eulerian form of the Lagrangian derivative * It is numerically equal to dv/dt for particle motion
114
What are the navier stokes equations for an incompressible fluid?
The navier stokes equations describe the motion of viscous fluids by applying Newton’s second law to a fluid element. For an incompressible fluid they simplify to the continuity equation and the momentum equation: ## Footnote They are essentialld F = ma for a viscous fluid
115
What are the Euler equations?
The navier stokes equations but ignoring viscous effects
116
How are the Euler equations and the 1st year momentum equation linked?
The Euler equation is the same thing but in vector notation and differential form
117
How are Eulers equations and bernoulli's equation linked?
For steady, incompressible, inviscid flow, if the Euler equation is applied along a streamline and integrated, it becomes Bernoullis equation.
118
How can both bernoullis equation and the stereamline curvature equation be derived from Eulers equation?
119
How can you determine realtive pressures using just knowledge of streamlines?
120
What does it mean if a flow is inviscid?
It has a viscocity of zero, μ = 0, and the flow is free to slip. It cannot support any shear stress at all, and the tangential velocity of the fluid in contact with the surface is completely independent from the velocity of the surface itself.
121
What is the no-slip condition?
When a molecules collides with a surface, it sticks to the surface long enough to reach thermal equilibrium before returning to the gas. Consequently, when they leave the surface, they have, on average, the same x-velocity and same temperature as the surface.
122
How does momentum transfer occur in a fluid?
Once a molecule leaves the surface, it will collide with neighbouring molecules. After several collisions, the extra x-momentum of the molecules coming from the top surface has been diffused into adjacent layers of fluid. These in turn jostle with the molecules adjacent to them, transferring x-momentum deeper into the fluid. Eventually x-momentum diffuses right down to the bottom plate and, averaging over all the molecules' velocities, you obtain a linear velocity profile.
123
What is Couette flow?
* When one plate moves parallel to the other with velocity V, the flow is known as "Couette flow" * In Couette flow, the pressure gradient is zero so the balance of forces reduces to dτ/dy = μ d²vₓ/dy² = 0 * This has a solution of the form vₓ = By + C, where B and C are constants determined from the boundary conditions
124
What is Poiseuille flow?
* When flow between stationary pates is driven by a consant pressure gradient, the flow is known as "Poiseuille" flow * In Poiseuille flow, there is a constant pressure gradient and so the balance of forces becomes dτ/dy = dp/dx, and so μ d²vₓ/dy² = dp/dx (as dτ/dy = μ d²vₓ/dy²) * This has a solution of the form: vₓ = (1/2μ dp/dx) y² + By + C, where B and C are constants determined from boundary conditions
125
How do you analyse steady incompressible viscous flow between parallel plates?
1. From continuity (∇⋅v=0), the velocity is uniform along the flow direction (vₓ = independent of x, vᵧ = 0) 2. Hence the flow acceleration is then zero everywhere 3. Therefore balancing forces on a small fluid element must equal zero 4. The force balance along x gives us the result: **dτ/dy = dp/dx** 5. This can become: dτ/dy = d/dy (μ dvₓ/dy) = μ d²vₓ/dy², Hence **dτ/dy = dp/dx = μ d²vₓ/dy²** 6. **dp/dx = μ d²vₓ/dy²** can then be solved to find an expression for vₓ (Note: For pure Couette flow dp/dx = 0, and for pure Poiseuille flow dp/dx = constant) Note: The force balance along y gives us the result: ∂p/∂y = ∂τ/∂x. Since τ is a function of the gradient of velocity, it is uniform along x (as the velocity is uniform along x), hence: ∂p/∂y = ∂τ/∂x = 0 → p = p(x)
126
How do you analyse steady incompressible viscous flow down a slope?
127
How do you analyse combined Couette and Poiseuille flow between parallel plates?
128
129
What is the buckingham pi theorem?
If a given physical phenomenon can be represented by a mathematical equation that involves a certain number N of physical variables, and the number of fundamental dimentsions involved is K, the original equation can be rewritten merely in terms of a set of P = N - K dimensionless variables
130
What are the steps to solving a fluid mechanics dimensional analysis question?
1. Identify your variables (Separate by independent and dependent) 2. Identify the number of fundamental dimensions (usually 3: M, L, T) 3. Use the buckingham pi theorem to identify the number of dimensionless variables 4. Create your dimensionless variables (dependent and independent). Always start by using standard non-dimensional groups from the databook! The dependent variable must only occur in the dependent dimensionless group, and each independent variable must appear in at leasy one independent dimensionless group 5. Dependent dimensionless group = fn(independent dimensionless groups) 6. Solve question as required ## Footnote Note: There would be multiple dependent dimensionless variables if there are multiple dependent variables, they would both be functions of all the independent variables and so 2 equations must be constructed
131
What is the dimensionless form of the navier stokes equation?
For 2 **geometrically similar** scenarios, but of different sizes, they would be dynamically similar as long as: * They have the same dimensionless boundary and initial conditions * They have the same Reynolds number This scenario is only try for incompressible flow, if it was compressible they must also have the same Mach number
132
How is the dimensionless form of the navier stokes equations derived?
133
What does the Reynolds number measure?
The relative importance of viscous effects compared to advective effects ((u⋅∇)u this term in the navier stokes equation)
134
What is the bulk velocity, V?
The volumetric flowrate divided by the cross sectional area. It is the average velocity in the pipe
135
What happens when the bulk velocity in a pipe is constant?
The flow experiences zero mean acceleration, and the pressure loss can be directly related to the friction force done by the walls
136
By dimensional analysis, how can the pressure loss in a pipe be linked to the friction force done by the walls?
137
What does laminar flow (driven by a constant pressure difference) in a circular pipe look like?
The flow takes some length from the entrance to fully develop, but from there on it becomes independent of x and adopts the familiar Poiseuille velocity profile
138
How do you determine the function for the friction coefficient?
139
Starting from the Navier-Stokes equation, use order of magnitude analysis to prove the Reynolds number measures the relative importance of viscous effects to the advective effects of flow
140
Why is turbulent flow caused in a pipe?
If the flow were to remain laminar, the friction coefficient would always decrease with increasing Reynolds number. However, as Re increases (in a given pipe and for a given fluid, by increasing V), the flow is not viscous enough to dissipate all the energy put into it merely by viscous friction, and breaks down into smaller and smaller eddies, down to sizes where viscosity can eventually act. The flow is then highly fluctuating and chaotic: it has become turbulent.
141
Turbulent flow is highly unsteady, the velocity and pressure at a point in space vary with time. How can we define the Reynolds number and the friction coefficient?
By using the time-averaged quantities as these has steady values
142
Why are turbulent flows easier to mix than laminar flows?
* In laminar flow, molecular diffusion is the only transport process between layers of fluid, this makes them very hard to mix, they must be folded rather than stirred. * In turbulent flow, packets of fluid move between layers of fluid in turbulent eddies, this occurs on a much larger scale than molecular diffusion so the mixing rate is greatly increased. There is a higher rate of momentum transfer from the fluid to the pipe walls, hence a higher shear stress and a greater pressure drop.
143
Why can we model the effect of turbulence by increasing the viscosity of the fluid?
In laminar flow the transport of momentum is due to molecular mixing only. However, in turbulent flow whole eddies move between layers, greatly increasing the rate of transport of momentum. Therefore we can model the effect of turbulent flow by increasing the viscosity by the "eddy viscosity", μᴛ. There is no universal model for μᴛ, the eddy size and intensity vary throughout the flow.
144
What does the log-log graph of the friction coefficient against the Reynolds number look like for a smooth, straight, circular pipe?
145
Hoe is roughness in a pipe characterised?
The ratio of the average bump size, k, to the diameter of the pipe, D. k/D
146
How does roughness effect pipe flow?
## Footnote k/D << 1
147
What is hydraulically smooth flow?
Hydraulically smooth flow is turbulent flow in which the wall roughness has no effect on the flow resistance. The flow breaks down into large eddies that are too large to notice the details of the surface roughness.
148
What is fully rough flow?
Flow when the friction becomes independent of the viscosity, and thus the reynolds number, and becomes entirely dependent on the pressure drag from roughness bumps. This is caused when the smallest eddies (for which viscosity is important) are so small that the viscosity becomes irrelevant at the length scale of the bumps, k.