IB: 2P6: Information Flashcards

(81 cards)

1
Q

What is a block diagram?

A

Each block has inputs and outputs which are signals (i.e. functions of time). The block itself corresponds to a system, i.e. a differential equation the relates the inputs and outputs.

How well did you know this?
1
Not at all
2
3
4
5
Perfectly
2
Q

What is in each block of a block diagram?

A

They represent systems, which can be written as “transfer functions” (often ODE’s)

How well did you know this?
1
Not at all
2
3
4
5
Perfectly
3
Q

What goes into and out of each block in a block diagram?

A

Information, not just the flow of “stuff”. The inputs and outputs to each block is a different signal.

How well did you know this?
1
Not at all
2
3
4
5
Perfectly
4
Q

What is a linear system?

A

A system is linear if it satisfies the principle of superposition

How well did you know this?
1
Not at all
2
3
4
5
Perfectly
5
Q

What is a causal system?

A

Causality is satisfied by all physical systems. It captures the property that “the current output depends only on past inputs and not on future inputs”

How well did you know this?
1
Not at all
2
3
4
5
Perfectly
6
Q

What is a time-invariant system?

A
How well did you know this?
1
Not at all
2
3
4
5
Perfectly
7
Q

What is linearization?

A

All real systems are actually nonlinear, but many of these behave approximately linearly for small perturbations from equilibrium.

How well did you know this?
1
Not at all
2
3
4
5
Perfectly
8
Q

When can we use linear systems theory?

A

If we are going to design a controller to keep a system near equilibrium then we can ensure that perturbations are small (and hence that behaviour is approximately linear). This justifies the use of linear theory for the design. Hence, linear systems theory can be extremely useful, even when the underlying system is actually non-linear.

How well did you know this?
1
Not at all
2
3
4
5
Perfectly
9
Q

What is the definition of a laplace transform?

A
How well did you know this?
1
Not at all
2
3
4
5
Perfectly
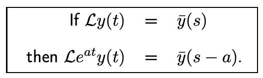
10
Q

Is the operation of taking laplace transforms linear or non-linear?

A

Linear

How well did you know this?
1
Not at all
2
3
4
5
Perfectly
11
Q

What is a rational function?

A

A function that can be written as the ratio of two polynomials

How well did you know this?
1
Not at all
2
3
4
5
Perfectly
12
Q

What is the shift in s theorem?

A
How well did you know this?
1
Not at all
2
3
4
5
Perfectly
13
Q

What are the poles and zeros of a rational functions of s?

A
  • The roots of n(s) are called the zeros of G(s)
  • The roots of d(s) are called the poles of G(s)
How well did you know this?
1
Not at all
2
3
4
5
Perfectly
14
Q

What is the final value theorem?

A

Only valid if signal tends to a constant for t → ∞

How well did you know this?
1
Not at all
2
3
4
5
Perfectly
15
Q

What is the intial value theorem?

A
How well did you know this?
1
Not at all
2
3
4
5
Perfectly
16
Q

What is feedback used for?

A

To reduce sensitivity

How well did you know this?
1
Not at all
2
3
4
5
Perfectly
17
Q

What characterises the input-output properties of a Linear, Time invariant, and Causal (LTI) system?

A
  • Impulse response
  • Step response
  • Transfer function

Each completely characterises the input-output properties of the system

How well did you know this?
1
Not at all
2
3
4
5
Perfectly
18
Q

Given the input to an LTI system, how can you determine the output?

A
  • In the time domain: as the convolution of the impulse response and the input.
  • In the laplace domain: as the multiplication of the transfer function and the laplace transform of the input
How well did you know this?
1
Not at all
2
3
4
5
Perfectly
19
Q

How is the transfer function linked to the impulse response and step response of the LTI system?

A
  • The transfer function is the laplace transform of the impulse response
  • The step response is then the integral of the impulse response
How well did you know this?
1
Not at all
2
3
4
5
Perfectly
20
Q

What is the unit impulse?

A

Any function δ(t) which has the property:

How well did you know this?
1
Not at all
2
3
4
5
Perfectly
21
Q

What is the impulse response of a system?

A
How well did you know this?
1
Not at all
2
3
4
5
Perfectly
22
Q

What is the step response of a system?

A
How well did you know this?
1
Not at all
2
3
4
5
Perfectly
23
Q

How can you determine the transfer function of a system?

A

Although the transfer function is strictly defined as the laplace transform of the impulse response, it is usually most easily calculated directly from the system’s differential equations.

How well did you know this?
1
Not at all
2
3
4
5
Perfectly
24
Q

What is the response of a system dominated by?

A

The slow transient: the term with the largest time constant

How well did you know this?
1
Not at all
2
3
4
5
Perfectly
25
How are transfer functions usually reprented?
With a capital letter (rather than a bar above the letter like other laplace transforms). Examples include: * G(s) * F(s) * H(s)
26
How can you determine the overall transfer function of the entire system?
27
What is asymptotic stability?
**g(t) → 0 as t → ∞**
28
How can you determine the type of stability of a system? ## Footnote Note: Systems with proper rational transfer functions
By the pole locations: **Asymptotic stability:** * All the poles lie in the left hand plane (all poles have negative real components) **Marginal stability:** * One or more distinct poles lie on the imaginary axis and are isolated (no repeated poles) * AND, any remaining poles (if any others) lie in the left hand plane (negative real components) **Unstable:** * If any of the poles have a positive real component * If there are repeated poles on the imaginary axis
29
For a system described by an ODE, what are the poles of the transfer function?
The poles of the transfer function are the solutions to the auxilliary equation of the ODE
30
Given the pole locations in the complex plane, how can you determine: * The natural frequency, ωₙ * The damping ratio, ζ * The reciprocal of the time constant of the decay, ωₙζ
* Radial contours of constant damping ratio, ζ * Circles of constant natural frequency, ωₙ * Vertical lines of constant ωₙζ ## Footnote Note: For higher order systems, you can read off the natural frequency and damping ratio for each "mode" of the system (each pair of complex poles). The poles closest to the imaginary axis are often called the dominant poles (their contribution dies away most slowly, and so tends to dominate the response)
31
What are dominant poles?
Higher order systems will have many poles. The dominant poles are the poles closest to the imaginary axis. Their contribution dies away most slowlym and so tends to dominate the response.
32
What is marginal stability?
33
What is an unstable system?
**g(t) → ∞ as t → ∞**
34
What is the transient response?
The initial part of the (time domain) response of a system to a general input (before the "transients" have died out). To a very large extend, the transients are a characteristic of the system itself, rather than the input.
35
How can the impulse response of a system be expressed?
As a sum of terms due to each real pole, or pair of complex poles. The systems response to ANY input will also include these features!
36
How do the poles of a transfer function dictate the transient response of the system?
* The real part of the pole, σ, determines both stability and the time constant, |1/σ| * The imaginary part of the pole, ω, determines the damped natural frequency (actual frequency of oscillation) in rad/sec * The magnitude of the pole determines the natural frequency * The argument of the pole determines the damping ratio
37
What is the frequency response to an asymptotically stable LTI system?
If a pure sinusoid is input to an asymptotically stable LTI system, then the output will also settle down, eventually, to a pure sinusoid. This steady-state output will have the same phase and frequency as the input, but be at a different amplitude and phase. The dependence of this amplitude and phase on the frequency of the input is called the frequency response of the system.
38
What are the gain and phase shift of the frequency response given by?
39
How can you plot the frequency response?
* **The Bode Diagram:** Two separate graphs, one of |G(jω)| vs ω (on log-log axes), and one of ∠G(jω) (lin axis) vs ω (log axis) * **The Nyquist Diagram:** One single parametric plot, of Re(G(jω)) against Im(G(jω)) (on linear axes) as ω varies * **The Nichols Diagram:** One single parametric plot, of |G(jω)| (log axis) against ∠(G(jω)) (lin axis) as ω varies
40
What are the uses of Bode, Nyquist, and Nichols diagrams?
* The Bode diagram is relatively straightforward to sketch to a high degree of accuracy, is compact and gives an indication of the frequency ranges in which different levels of performance are achieved * The Nyquist diagram provides a rigorous way of determining the stability of a feedback system * The Nichols diagram combines some of the advantages of both of these (although it is not quite as good in either specific application) and is widely used in industry. ## Footnote Note: Nichols diagram not in course
41
How do you sketch a Bode diagram?
Sketch the asymptodes!!!! Determine what the amplitude and phase will be for: ω → 0 ω → ∞ ω = 1 / T Draw the asymptodes on the diagram, see where they cross, and use them to sketch the rough shape Sum the different asymptodes from the different terms in the transfer function to obtain the overall plot.
42
How do you sketch the Bode diagram for the term in the transfer function: **a(s) = (sT)ᵏ**?
43
How do you sketch the Bode diagram for the term in the transfer function: **G(s) = (1 + sT)**?
44
How do you sketch the Bode diagram for the term in the transfer function: **G(s) = (1 + 2ζ sT + s²T²)**?
45
Why will Open-loop control not work in practice? Why is closed-loop (feedback) control required?
It requires an exact model of the plant and that there be no disturbances (no uncertainty) as there is no feedback. Therefore feedback is used to combat the effects of uncertainty, this could be unknown parameters, unknown disturbances, or unknown equations.
46
What is the closed-loop transfer function?
The transfer function linking the input to the output. If there are multiple inputs (including disturbances) then there will be multiple closed-loop transfer functions
47
For a single-loop closed-loop transfer function, what is similar between all the closed-loop transfer functions?
They all have the same denominator
48
What is the closed-loop characteristic equation?
The denominator of the closed-loop transfer functions set equal to zero
49
What are the closed-loop poles?
The poles of the closed-loop transfer function. They are the roots of the closed-loop characteristic equation
50
What do the closed-loop poles determine?
* The stability of the clsoed-loop system * Characteristics of the closed-loop system's transient response
51
What is the return ratio? | Also known as loop transfer function
It is the product of all the terms around the loop.
52
What is the closed-loop characteristic equation in terms of the return ratio, L(s)?
1 + L(s) = 0
53
What are the Sensitivity S(s) and the Complementary Sensitivity T(s) closed-loop transfer functions?
* The sensitivity function characterizes the sensitivity of a control system to disturbances appearing at the output of the plant S(s) + T(s) = 1
54
What is an example of when the Sensitivity S(s) and the Complementary Sensitivity T(s) appear?
55
What is the "Steady-state response"?
56
What is the Steady-state error?
It is the final value theorem applied to the difference between the input and the output
57
What is Proportional control?
It is the simplest control policy where the controller is just a multiplication with a constant kₚ.
58
How does the value of kₚ effect the response in proportional control?
A large kₚ leads to a smaller steady-state error, but this is at the expense of a more oscillatory response (or even instability)
59
How can you increase damping?
Use derivative action
60
How can you remove steady-state errors?
Use integral action
61
What is Proportiona + Derivative (PD) control?
In addition to the proportional control, there is a term where the input to the controller is differentiated and multiplied by a constant kd.
62
How does the value of kd effect the response in PD control?
Increasing kd: * Increased damping (less oscillatory) * Greater sensitivity to noise
63
What is Proportional and Integral (PI) control?
Integral action (if stabilizing and the system is asymptotically stable) always results in zero steady-state error, in the presence of constant disturbances and demands. To remove the steady-state error, we must ensure K(0) = ∞
64
What is PID control?
A PID controller can combine the advantages of derivative, integral, and proportional control. Appropriate tuning of the controller parameters is important
65
What is the Nyquist stability criterion?
The Nyquist stability criterion states that, if: * The open-loop system is asymptotically stable (i.e. the return ratio L(s) has all its poles in the LHP) and, * The Nyquist diagram of L(jω) does not enclose the point "-1", then the closed-loop system will be asymptotically stable (i.e. the closed-loop transfer function L(s)/(1+L(s)) will have all its poles in the LHP)
66
What is the real power of the Nyquist stability criterion?
It allows you to determine the stability of the clsoed-loop system from the behaviour of the open-loop stability diagram. This is important from a design viewpoint as it is realtively easy to see how changing K(s) affects L(s) = H(s)G(s)K(s), but difficuly to see how changing K(s) affects L(s)/(1+L(s)) directly. It also allows more detailed information about the behaviour of the closed-loop system to be inferred. For example, gain and phase margins measure how clsoe the Nyquist locus gets to -1, and hence how clsoe the clsoed loop system is to instability
67
How do you plot a Nyquist diagram?
* Evaluate both the modulus and argument of G(jω) * Start sketching points for varying ω. Start with the points as ω → 0 and ω → ∞ and then do a few points inbetween
68
L(jω) encircling or going through the point -1 will mean the closed-loop is not asymptotically stable. Why is L(jω) coming close to -1 without encirlcing it also endesireable?
* It implies that a closed-loop pole will be close to the imaginary axis and that the clsoed-loop system will be oscillatory * If G(s) is the transfer function of an innacurate model, then the "true" Nyquist diagram might encircle -1
69
What are gain and phase margins?
Gain and phase margins are used to measure how close the return ratio L(jω) gets to -1: * The gain margin measures how much the gain of the return ratio can be increased before the celosed-loop system becomes unstable. **Gain margin = 1/α** * The phase margin measures how much phase lag can be added to teh return ratio before the closed-loop system becomes unstable. **Phase margin = θ**
70
How do you determine the gain and phase margins from the Bode plot?
* For the gain margin we find first the frequency where the phase of L(jω) is -180°. We then find |L(jω)| at this frequency. * For the phase margin find first the frequency where |L(jω)| = 1. We then find the phase of L(jω) at this frequency and how much it deviates from -180°.
71
Given a Nyquist diagram of L(s) = kG(s) for k = 1, how do you find the gain and phase margins for k ≠ 1?
72
What is a good feeback property for the sensitivity (1/(1+L(jω))?
Small sensitivity, as this causes: * Rejection of disturbances * Reduction in the effects of uncertainty This occurs when |L(s)| >> 1
73
Feedback reduces the effect of disturbances at low frequencies, up to ω₁. The closed loop will respond to frequencies up to around ω₂. Between these frequencies both disturbances and reference signals are amplified. How can ω₁ and ω₂ be found from the open-loop frequency response?
74
What is the Nyquist diagram of the below return ratio
75
What happens if there are multiple encirclements on a Nyquist diagram?
76
L(s) often has one or more poles at the origin, how is this dealt with when sketching the Nyquist diagram?
77
If L(s) is unstable and has nₚ unstable poles, how is the Nyquist stability theorem modified?
78
When choosing K(s) to shape L(s) = K(s)G(s), what should you aim for?
L(jω) should: * Have high gain at low frequencies * Low gain at high frequencies * Phase should be larger than -180° at ωc (the frequency where the gain is 1). This ensures that the Nyquist stability criterion is satisfied with sufficient gain and phase margin
79
How is this achieved?
80
What is a phase lag compensator?
A phase lag compensator has a transfer function of the form specified below. It is the generalized form of PI action. * A phase lag compensator increases the low frequency gain, and so reduces steady-state errors. * However this is achieved at the expense of introducing a phase lag. However, if the compensator is designed such that the maximum phase lag occurs at a frequency well below ωc, then this phase lag will not affect significantly the phase margin of the system
81
What is a phase lead compensator?
A phase lead compensator has a transfer function of the form specified below. It is the generalized form of PD action. * A phase lead compensator results in an increase in the phase at a certain frequency range. If this occurs at a frequency close to ωc then this will improve the gain margin of the system. * However, it decreases the low frequency gain and icnreases the high frequency gain whichare undesireable properties.