Is mathematical induction deductive or inductive?

Although it’s called ‘induction’ it is not an inductive form of inference, but a deductive one.

What are the methods by which to make proofs about infinitely many elements?
Alternatively …
What is deductive reasoning?
When the truth of the conclusion always follows (necessarily) from the truth of the
premises.
It is impossible for the premises to be true and the conclusion to be false at the same
time.
(‘From general to particular’ — not really. . . )
Premise (Must be true) —–> Conclusion (True)
Ex: Logic, and Mathematical Induction
What is inductive reasoning?
When the consequence is made more likely by the premises.
(‘From particular to general.’ — not really. . . )
Hume’s problem of induction: How do I know that the sun will rise tomorrow?
Ex: scientific inquiry
How does mathematical induction relate to inductive reasoning?
What we prove by mathematical induction is not only probable, but also deductively valid.
To distinguish it from the inductive method, we call it ‘mathematical induction’.
“Many mathematical results were found by induction first and proved later [by mathematical induction]. Mathematics presented with rigor is a systematic deductive science, but mathematics in the making is an experimental inductive science.”(George Polya, How To Solve It, p.117).
The principle of mathematical induction itself cannot be proved semantically or syntactically.
If we want to use it within our calculus it has to be assumed as an axiom.
We’ll see this when we talk about axiomatizations of number theory.
Use dominos to demonstrate the set-up and execution of mathematical induction?
What are recursive (inductive) definitions?….
Which defines the essential elements of our set
Tell us how to generate complex elements from parts
States that all elements are either basic elements or generated by an inductive clause
Ex. Natural numbers IN defined as follows
What is Mathematical Induction?
My only be applied to an inductively defined domain.
In general, method of induction not tell us how to arrive at the induction hypothesis, shows us it holds all elements of the domain
Show that a certain property holds for all elements in an infinite domain, sure that our inductive proof begins with basic elements
Analogous with dominos: want all to fall - have to set up the first element
What is weak mathematical induction?
(1) Base Case:
Show that the property holds for the basic element(s)
(2) Inductive Step:
Assume that the property holds for some element n (Inductive hypothesis)
Show that also holds for any element generated from n by inductive clauses
(3) Conclusion:
The property holds for all elements

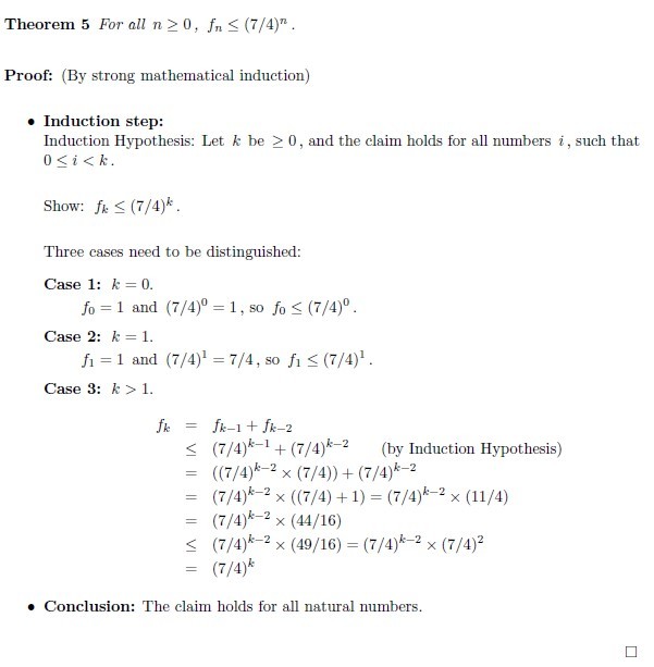
What is strong (complete) mathematical induction?
Assume that the property holds for all elements less than or equal than n (Inductive Hypothesis)
Show that it also holds for any element generated from n by the inductive clause(s)
(2) Conclusion:
The property holds for all elements

What is the Inductive Hypothesis?
Weak MI: Assume that the property holds for some element n
Strong MI: Assume that the property holds for all elements less than or equal than n (Inductive Hypothesis)
5.1 Solve using mathematical induction:


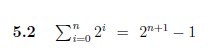
5.2 Solve using mathematical induction:


5.3 Solve using mathematical induction:


5.4 Solve using mathematical induction:


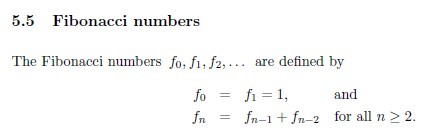
5.5 Solve using mathematical induction:


5.6 Solve using mathematical induction:

