Primitive Recursive Functions Flashcards

(17 cards)

1
Q

What is a primitive recursive function?

A

(1) Zero, (2) successor, (3) projections, (4) composition, and (5) primtive recusive

BlooP

How well did you know this?
1
Not at all
2
3
4
5
Perfectly
2
Q

Primtive Recursive Functions

Base Case

A
  1. Zero: Z(n) = 0 - (“Simplist function from N to N”)
  2. Successor: S(n) = number following n in the natural number series
  3. Projections: (“Simplist function from N^k to N”)
How well did you know this?
1
Not at all
2
3
4
5
Perfectly
3
Q

Primitive Recursive Functions

Inductive clause

How to define complex functions from (base) functions

A

Composition and Primitive Recursion (Schema)

How well did you know this?
1
Not at all
2
3
4
5
Perfectly
4
Q

How to know n function is P.R.?

A

How to give def corresponds to the recursive definition
When something is finite => reduce something to a base case.

How well did you know this?
1
Not at all
2
3
4
5
Perfectly
5
Q

Primtive Recursive Functions

Final Clause

A

Only functions obtained from the base/Inductive clauses are Primitive Recursive

How well did you know this?
1
Not at all
2
3
4
5
Perfectly
6
Q

P.R.

Identity: (a)

A

id(x) = P^1_1(x)

How well did you know this?
1
Not at all
2
3
4
5
Perfectly
7
Q

P.R.

Addition (b)

A

plus(0, x) = P11(x)

plus(n + 1, x) = S(P13( plus(n, x) n, x))

How well did you know this?
1
Not at all
2
3
4
5
Perfectly
8
Q

P.R.

(d) Predecessor Function: pred(x)

A

pred(0) = 0
pred(n + 1) = n, where h(v, w) = P22(v, w)

How well did you know this?
1
Not at all
2
3
4
5
Perfectly
9
Q

P.R.

(f) The conditional function

A

cond{x, y, z}

Depends condition of “x”

How well did you know this?
1
Not at all
2
3
4
5
Perfectly
10
Q

P.R.

(g) Finite sums and products:

A

If upper and lower limit, then sum/product is primitive recursive

How well did you know this?
1
Not at all
2
3
4
5
Perfectly
11
Q

What is a characteristic function?

A

Function of n-ary predicate or relation

Logical operations on primitive recursive predicaters

Predicate is primitive recursive, if its characteristic function is
How well did you know this?
1
Not at all
2
3
4
5
Perfectly
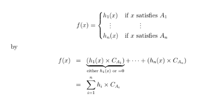
12
Q

P.R.

(h) Defintion by cases

A

Given n disjoint primitive recursive conditions ( = predicates), A1, …, An and n primitive recursive functions h1, …, h2 define following P.R. function:

How well did you know this?
1
Not at all
2
3
4
5
Perfectly
13
Q

Are all (computable) functions primititive recursive?

A

No.
Show: find functions not P.R.

(1) Proof by contradition / (2) diagolanization

How well did you know this?
1
Not at all
2
3
4
5
Perfectly
14
Q

P.R.

Bounded minimization (j):

A

“the least y less or equal than n, such that h(x, y) = 0 if there is on; n otherwise”
f yields the minimum value of y for which h holds.

How well did you know this?
1
Not at all
2
3
4
5
Perfectly
15
Q

P.R.

Predicates

A

Predicates: True/false value
Bounded existence and universality

How well did you know this?
1
Not at all
2
3
4
5
Perfectly
16
Q

What is a BlooP program?

A

Same as Primitive Recursive functions.

Simple (computer) language for representing predictably terminable computations

Characterized by boundedness

Expressions in capital TYPEWRITER (part of lang); epxressions in <angular brackets> meta-variables.

17
Q

How is BlooP characterized by the boundedness of the loop?

A

LOOP <mathematical expression> TIMEs

Therefore, corresponds to class of primitive recursive functions