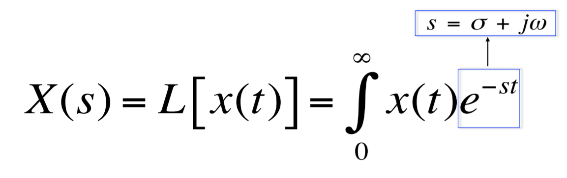
What is the Laplace Transform formula?

What is s in the LT?
s = σ + jω
where σ is the growth factor and ω is the frequency of the oscillation
What is the relation of Laplace and Fourier Transform?
Fourier transform can be considered a special case of the laplace where σ = 0
How do we find the inverse Laplace of a function?
By using partial fraction expansion to express a rational function as a sum of lower-order rational functions whose inverse Laplace can be found using look up tables.
What is the Laplace equivalent of differentiation?
Multiplication by s in the Laplace domain
What is the Laplace Transform of dx/dt?
L(s) = sX(s) - x(0)
where x(0) is the initial condition (value of x at t = 0)
What is integration in the Laplace domain?
Multiplication by 1/s
How do we represent a time shift in the Laplace Domain?
Delaying x(t) by t0 is equivalent to a multiplication of the Laplace Transform X(s) by e-st0.
How do we represent a frequency shift in the Laplace Domain?
A frequency shift of the Laplace Transform X(s) by s0 is X(s - s0),
This is equivalent to multiplying its time function by es0t
What is the equivalent of convolution in the Laplace Domain?
Convolution in the time domain is equivalent to multiplication of two transforms in the Laplace Domain.
x1(t)*x2(t) ==> X1(s)X2(s)