What are the 3 ways for modelling a system?
What is the equation for the following node? What is the name for this type of node?

Summing node: y(t) = x1(t) + x2(t)
What is the name and equation of the following node?

Difference node: y(t) = x1(t) - x2(t)
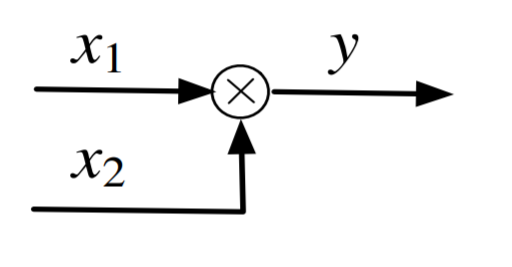
What is the name and equation for the following node?

Multiplier: y(t) = x1(t)x2(t)
What is the name and equation for the following system?

Series (or cascade) connection: y = H2H1
What is the name and equation for the following system?

Parallel connection: y = H1 + H2