What is a LTI system?
Linear Time Invariant system
How can any discrete time signal x[n] be expressed?
Any discrete time signal x[n] can be expressed as the sum of scaled and delayed (time shifted) impulses.

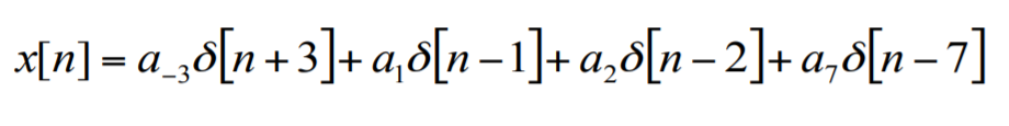
How can we express the following signal as a sum of scaled and delayed impulses?

The solution would be in the form:

What is the convolutions sum?
h[n] is the impulse response of the LTI system

What is meant by an impulse response?
The system’s output when the input is an impulse 𝛿[n]
What are 3 properties of convolution?
What do we mean when we say convolution is commutative?
If we switch the variables on the RHS of the convolution sum we receive the same sum.
y[n] = x[n] * h[n] = h[n] * x[n]
What do we mean when we say convolution is associative?
If we are carrying out the convolution sum for two impulse responses in series (e.g. h1 and h2), the order of the sum does not matter only their association.
The convolution sum can be found by carrying out convolution for each impulse resposne
The variables in the convolution sum can be in any order.

What do we mean when we say convolution is distributive?
This applies to convolution to impulse reponse that is in parallel.
The order of the convolution does not matter, this means that it can be carried out in two ways, by:

If we are given a the graph for an input function x[n], how do we convert this to scaled x[k] and delayed 𝛿[n - k] impulses?
For the input to be converted from x[n] -> x[k]𝛿[n-k]:

How do we carry out the convolution sum?