Generations of All antimicrobials

General Background macrolides
Which portion of the drug is responsible for Causing SEs?
Which portion is key for interactions?
Predominantly used for the treatment of? and some?
Hgih concentrations in?
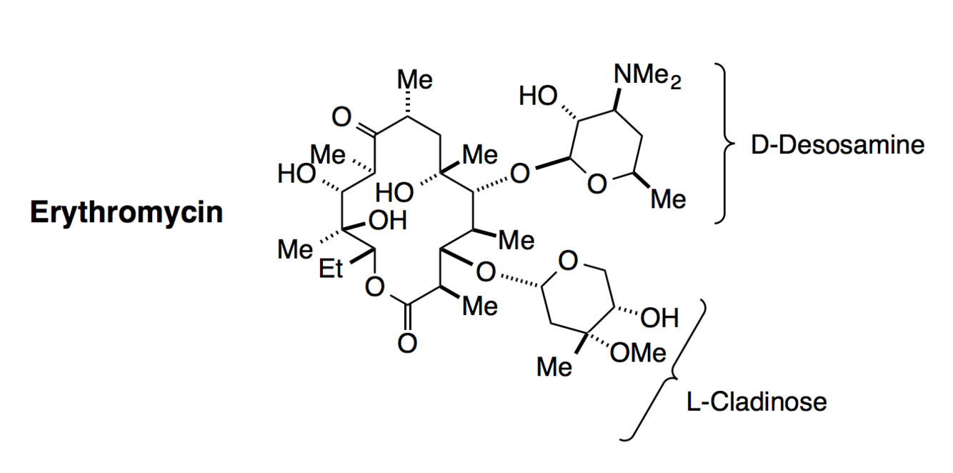
Key structural features?

Macrolide static or cidal?
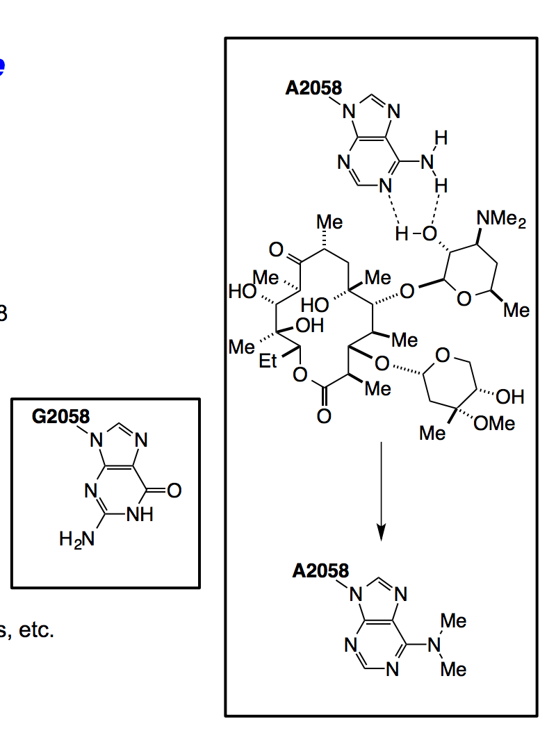
Macrolide MOA?
key binding sites?
Erythromycin
Bacterio___
Inhibits?
Binds to?
Binding dose?
Incompletely formed?


ERM resistance
Resistance (MLSb cross resistance)
Major:
Moderate:
Common clinically in?
Genes for methylation

Less common Erythromycin modes of resistance

Stability and ADME/DMPK for Erythromycin
Interactions
Major usage: Upper respiratory infections (also consider spectrum) Desosamine causes high concentration in bronchials
Minor: GI/motility/ prokinetic effect (cladinose)
CYP3A4 interaction lead to arrhythmias

Instability of erythromycins to acid (stomach)
What is the fix for this?
spiroketal formation in the presence of acid is an inactive metabolite of erythromycin, this also causes GI cramps
Enteric coating gets the drug to the small intestine
Erythromycin salts and esters
Erythromycin products with better water solubility
Gluceptate salt (IV)
Lactrobionate (IV)
Clarithromycin
Whats changed and what does this mean?
Drug is linked with?
C6-OMe
Increased acid stability and less GI cramping, more lipophilic
Increased CV risk
Azithromycin
Presently?
Improved?
And?
WHats bugs cause respiratory infections
Common forms of Erythromycin

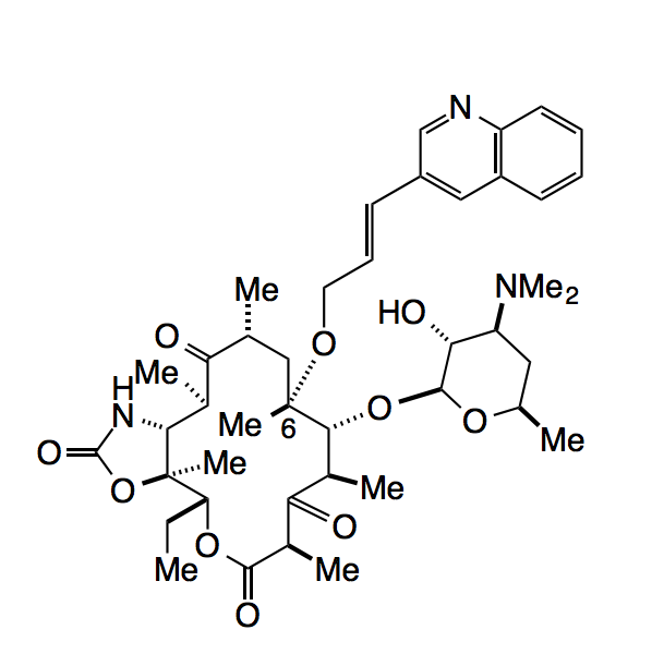
Telithromycin
Ketolide?
Heterocylic group does what?
Change where?
What interferes with cholinergic system?
Interactions?
Approved for tx of?
Major SEs?

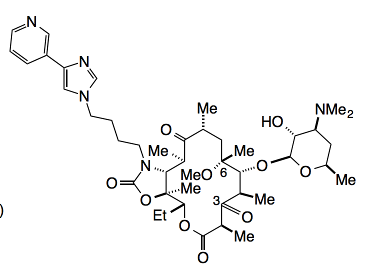
Cethromycin
Trials for?
Quinolones: addition what?
But Doesnt interact with?
C6?
Spectrum

Solithromycin
Ketolide?
Heterocyclic group does what?
C6?
Spectrum?

Lincosamides
Lincomycin
Static or Cidal?
Structurally different to macrolide but?

General Properties of Lincosamides?
LIncomycin—> Clindamycin
General Properties of Clindamycin
Spectrum?
Other uses?
Effective against a number of?
Problems with ____ have decreased the popularity?
(Gram + cocci)