Bedaquiline (TMC-207)
MOA?
Treatment?

Properties of Rifampin?
DMPK
Metabolism
Excretion?

Ethambutol
Only used for?
Static or Cidal?
MOA?
Resistance?
DMPK?
Major Toxicity?

How resistant is Restistant TB?
TB
MDR TB
Definition and second line
XDR TB

First line treatment of TB needs to do what?
Standard TB Tx
TB exists in 3 portions:
Six month treatment (___)
7 points
Rationale for Therapeutic Combos
Multiple Targets?
Resistance
Toxicities

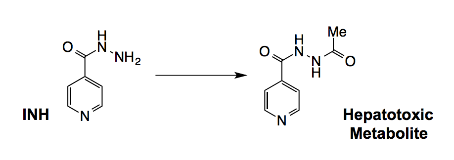
Isoniazide (INH)
DMPK: Administration?
Distributes on an empty?
Toxicity?
MOA?
Resistance?


Pyrazinamide (PZN)
Static or cidal?
DMPK
MOA?
3 things
Toxicity?
Resistance?

TB drugs in development

Rifabutin and Rifaximin?
___ Macrolides?
Treatment of?
Rifaximin absorption admin, treats, alternative for?

Clinical properties of Rifampin
Usage
Prophylactic usage?
Toxicities?
Interactions?

Second line and alternative therapies for TB
INH is a ____ that gets converted by ____ then it can inhibit ___
Resistance is common with?
Schematic Diagram of Mycobacterial Cell wall
Or at least the parts that are targeted for TB
8 parts

Rifampin
Color?
Sensitive to?
MOA?
Static or Cidal?
Spectrum?
Resistance?

Second line agents cycloserine and p-aminosalicylic acid (PAS)
Cycloserine MOA, resistance, spectrum
Pamino- Inhibits?, Resistance?

Ethionamide
Second line Capreomycin
MOA
static or cidal?
Admin?
Resistance?
Toxicity?

Mechanism of action of PZN
