What is the run time to Matrix sum two n by n matrices?
Theta of (n2)
What is the naive algo for matrix mult with the run time?
3 nest loops
for i < n
for j < n
for k < n
c[i][j] += a[i][k] * b[k][j]
Run time: Theta of (n3)
For matrice multiplication, what happens during
Divide
Conquer
Combine

What is the run time analysis of divide-and-conquer for multiplying two n-by-b matrices? (in general)

User the Master thereom to determine the run time of the divide and conquer algorithm listed below


what is the recursive formula for Strassen Algorithm.
What is the run time?

Strassen Algorithm:
What are the following actions:
Divide
Conquer
Combine
Basecase

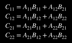
For matrix multiplication how are each of the C cells determined?


Using strassed Algorithm
How are the C cells determined?

In general, how do you prove the correctness of the Strassen algorithm?
Show that after all the required calculations the c cells equal what they should: see below
