Substitution Practice Flashcards

(4 cards)

1
Q

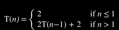
Find the closed form express for the recurrence relation T(n) using the substitution method

A
How well did you know this?
1
Not at all
2
3
4
5
Perfectly
2
Q

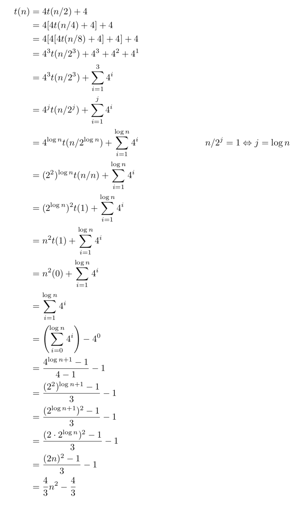
Find the closed form expression for the following

A
How well did you know this?
1
Not at all
2
3
4
5
Perfectly
3
Q

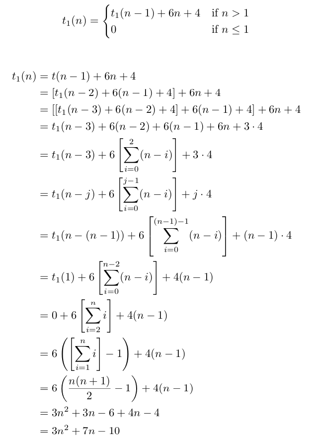
Find the closed form of the following

A
How well did you know this?
1
Not at all
2
3
4
5
Perfectly
4
Q
A
How well did you know this?
1
Not at all
2
3
4
5
Perfectly