What does the optimal substructure property mean?

To prove optimal substructure property what must we prove?

What is the proof of the optimal substructure property for the making change problem?
We have amount owed and we are looking to use the fewest amount of coins possible.

What is the typical proof for this following problem?


What is the actual proof for the following problem:


<from></from>
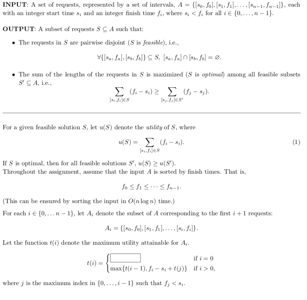
find attached the problem definition.
What is the optimal substructure property?


How do you prove the optimal substructure of a graph?
