Lesson 6.1 Simple Harmonic Motion (Part 1)
What is Periodic Motion?
🔬 Periodic Motion: Objects vibrates or oscillate back and forth, over the same path, with each oscillation taking the same amount of time
Ex: uniform coil spring
Lesson 6.1 Simple Harmonic Motion (Part 1)
What is the restoring force?
Restoring Force: Mass moved left/right, compressing the spring or stretching the string, the spring exerts a force on the mass that acts in the direction of returning mass to the equilibrium position
Lesson 6.1 Simple Harmonic Motion (Part 1)
What is Hooke’s Law and its relation to Restoring Force?
To stretch the spring in direction x, an external force must be exerted on free end of the spring with a magnitude of at least:
Fext = +kx
Lesson 6.1 Simple Harmonic Motion (Part 1)
What is displacement?
The distance x of the mass from the equilibrium point at any moment
Lesson 6.1 Simple Harmonic Motion (Part 1)
What is amplitude?
Maximum distance (greatest distance from equilibrium point)

Lesson 6.1 Simple Harmonic Motion (Part 1)
What is a cycle?
One cycle refers to the complete to-and-from motion from some point back to the same point
Lesson 6.1 Simple Harmonic Motion (Part 1)
What is the period (T)?
Time required to complete one cycle

Lesson 6.1 Simple Harmonic Motion (Part 1)
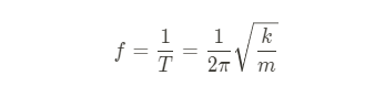
What is the frequency (f)?
Number of complete cycles per second Hertz (Hz), where 1 Hz = 1 cycle per second (s-1)

f = 1/T
Lesson 6.1 Simple Harmonic Motion (Part 1)
How does vertical oscillation compare to horizontal oscillation?

Lesson 6.1 Simple Harmonic Motion (Part 1)
What is the potential energy of a string?
Potential Energy is stored in a stretched or compressed string:
Elastic Potential Energy:
PE = 1/2kx2
Total Mechanical Energy (sum of kinetic and potential energies):
E = 1/2mv2 + 1/2kx2
Lesson 6.1 Simple Harmonic Motion (Part 1)
What is simple harmonic motion (SHM)?
Simple Harmonic Motion (SHM): Any oscillating system for which the net restoring force is directly proportional to the negative of the displacement (Also called a simple harmonic oscillator (SHO)).
Lesson 6.1 Simple Harmonic Motion (Part 1)
What is the total mechanical energy of a simple harmonic oscillator?
Total Mechanical Energy of a simple harmonic oscillator is proportional to the square of the amplitude
Lesson 6.1 Simple Harmonic Motion (Part 1)
What happens in simple harmonic motion at the extreme points?
At extreme points: x = A and x= -A
E = 1/2m(0)2 + 1/2kA2 = 1/2kA2
Lesson 6.1 Simple Harmonic Motion (Part 1)
What happens in simple harmonic motion at the equilibrium points?
At equilibrium points: x=0
E = 1/2mvmax2 + 1/2k(0)2 = 1/2mvmax2
Lesson 6.1 Simple Harmonic Motion (Part 1)
What happens in simple harmonic motion at the intermediate points?
1/2mv2 + 1/2kx2 = 1/2kA2
Lesson 6.1 Simple Harmonic Motion (Part 1)
What is velocity? (as a function of position)

Lesson 6.2 Simple Harmonic Motion (Part 2)
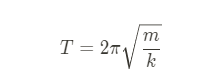
What is the period of a Simple Harmonic Oscillator?
Period of a Simple Harmonic Oscillator found to depend on
Increases alongside the mass and decreases alongside the spring constant
Force is directly proportional to the spring constant (so also acceleration)

Lesson 6.2 Simple Harmonic Motion (Part 2)
What is the frequency of a Simple Harmonic Oscillator?

Lesson 6.2 Simple Harmonic Motion (Part 2)
What is the time of a Simple Harmonic Oscillator?

Lesson 6.2 Simple Harmonic Motion (Part 2)
How do you use derivatives to find distance, velocity, and acceleration?
where ω = 2πf
x(t) = Acos(ωt)
v(t) = x(t)’ = -Aω sin(ωt)
a(t) = x(t)’’ = -Aω2 cos(ωt)
Lesson 6.2 Simple Harmonic Motion (Part 2)
Describe position as a function of time:
Describe in terms of the frequency and period.
Therefore (in terms of frequency):
x = Acos(2πft)
And (in terms of the period):
x = Acos(2πt)/T
Lesson 6.2 Simple Harmonic Motion (Part 2)
What is sinusoidal motion?
At x=Acos ωt
Assume oscillation starts from rest (v = 0) at its maximum displacement (x = A) at t = 0
Lesson 6.2 Simple Harmonic Motion (Part 2)
Velocity and Acceleration curves as derivates of distance:

Lesson 6.2 Simple Harmonic Motion (Part 2)
Describe velocity as a function of distance:
