NSAIDS Flashcards

(44 cards)

1
Q

What explains the GI complaints associated with aspirin use?

A

Decreased production of PGs that promote mucus secretion

How well did you know this?
1
Not at all
2
3
4
5
Perfectly
2
Q

Why does aspirin increase bleeding time

A

TXA2 production in platelet decreases

How well did you know this?
1
Not at all
2
3
4
5
Perfectly
3
Q

General properties of NSAIDS

A
  • Anti-inflammatory
  • Anti-pyretic
  • Analgesic
How well did you know this?
1
Not at all
2
3
4
5
Perfectly
4
Q

Mechanism of action of all NSAIDS

A

Inhibition of cyclooxygenase

How well did you know this?
1
Not at all
2
3
4
5
Perfectly
5
Q

Acetylsalicylic Acid/Aspirin mechanism of action

A

Irreversible inhibitor of Cox 1 and 2

Acetylation of a serine moiety - Serine 230

How well did you know this?
1
Not at all
2
3
4
5
Perfectly
6
Q

Why doesn’t protein synthesis occur in both Endothelial cells AND platelets

A

Platelets have no nucleus - once inhibited, cannot create more protein

How well did you know this?
1
Not at all
2
3
4
5
Perfectly
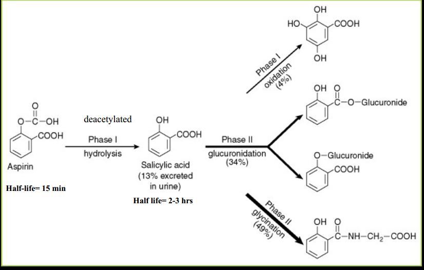
7
Q

Aspirin

Absorption:

Distribution:

A

Absorption: Oral absorption

  • Rapidly absorbed from stomach and small intestine
  • limited by dissolution rate (chewing increases)
  • Buffered (substances which neutralize acid) vs. enteric coated (dissolves in intestines)

Distribution:

  • Highly bound to plasma proteins
  • Crosses BBB and placental barrier
How well did you know this?
1
Not at all
2
3
4
5
Perfectly
8
Q

Aspirin Metabolism

A

Renal Elimination

Plasma half life is dose-dependent

How well did you know this?
1
Not at all
2
3
4
5
Perfectly
9
Q

Unique effects specific to Aspirin/Salicylates

A

Uric Acid Excretion

CNS

Respiration

How well did you know this?
1
Not at all
2
3
4
5
Perfectly
10
Q

Uricosuric Effects

A
  • Any agent that increases rate of excretion of uric acid
  • Uptake of uric acid from renal tubules via a transporter that acts as an anion exchanger
  • Uriosuric agents compete with the urate transporter
How well did you know this?
1
Not at all
2
3
4
5
Perfectly
11
Q

What is the dose dependent Uricosuric effect of Aspirin?

A

Low doses - decrease uric acid exretion

  • Secretory component for urate sensitive to low concentrations of salicylates

Large doses - Increase uric acid excretion

  • Normal mechanism to block reabsorption via interaction with transpoter (OAT)
How well did you know this?
1
Not at all
2
3
4
5
Perfectly
12
Q

CNS effects of high doses of Salicylates (Toxicity)

A
  • Stimulation followed by depression
  • Tinnitus, high tone deafness, confusion, dizziness, delirium, psychosis, coma
  • Nausea and vomiting
How well did you know this?
1
Not at all
2
3
4
5
Perfectly
13
Q

_________ are a major limitation to long term therapy with NSAIDs

A

GI side effects

How well did you know this?
1
Not at all
2
3
4
5
Perfectly
14
Q

PGs and their function in the GI

A
  • Inhibit acid secretion by the stomach
  • Promote secretion of cytoprotective mucus in the intestine
How well did you know this?
1
Not at all
2
3
4
5
Perfectly
15
Q

NSAID GI Side Effects

A

Block the production of cytoprotective PGs

  • GI ulceration and irritation
How well did you know this?
1
Not at all
2
3
4
5
Perfectly
16
Q

NSAIDs and Platelets

A
  • All NSAIDs increase bleeding time by inhibiting platelet TXA2
  • Platelets lack nucleus so new COX only with new platelets since ASA irreversible inhibition of COX
How well did you know this?
1
Not at all
2
3
4
5
Perfectly
17
Q

Aspirin Hypersensitivity

A

Blocking COX forces arachidonic acid to follow other pathways leading to products which promote allergy, bronchoconstriction. inflammation and mucus production

  • Treated as analphylactic shock (epinephrine)
How well did you know this?
1
Not at all
2
3
4
5
Perfectly
18
Q

NSAID renal side effects

A
  • Decrease renal blood flow
  • Promote salt and water retention
  • Effects more prominant in individuals dependent on vasodilatory PGs
    • Elderly
19
Q

NSAIDs and pregnancy

A
  • Prolongation of gestation
  • Prolonged labor
  • Increased risk of postpartum hemorrhage
  • Intrauterine closure of the Patent Ductus Arteriosus
    • NSAIDS still used
20
Q

Dose needed for Salicylate poisoning

Asprin:

Methyl Salicylate:

A

Aspirin: dose 10 to 30 grams

Methyl Salicylate: dose of 4.7 grams in children

21
Q

Aspirin Half Life During Over Dose

22
Q

Reye’s Syndrome

A
  • Specific to aspirin
  • Most often in children (6-11)
  • Acute encephalopathy; Liver degeneration
  • Often follows a viral illness
  • Mechanism unknown (Mitochondrial damage?)
23
Q

Drug Interactions for NSAIDs

A
  1. Alcohol
  2. NSAIDS
  3. Steroids
  4. Anticoagulants
  5. Methotrexate
24
Q

NSAID therapeutic uses:

  • Low Dose:
  • Intermediate Dose:
  • High Dose:
A

Low Dose (80 mg/day): CV disease

Intermediate Dose (325 mg to 1g/day): Low intensity pain/fever

High Dose (5-8 grams/day): Chronic inflammatory disease/ rheumatoid arthritis

25
Side Effects Associated with all Non-Selective NSAIDs
* GI irritation * Inhibition of platelet aggregation/ bleeding * Decrease in RBF in patients dependent on vasodilatory PGs * Hypersensitivity
26
Propionic Derivatives
1. Ibuprofen 2. Naproxen
27
Indomethacin Function: Administration: Therapeutic Uses: Side Effects:
Function: Reversible inhibition of COX1 and COX2 Administration: Both oral and IV Therapeutic Uses: Gout; preterm labor; close PDA Side Effects: Severe frontal headache * Better tolerated if given at night
28
Ketorolac Function: Administration: Therapeutic Uses: Side Effects:
Function: Reversible inhibitor of COX1 and COX2 Administration: Oral, IV, and IM administration Therapeutic Uses: Used as alternative for opioid analgesics in the treatment of post-operative pain Side Effects: Possibility of serious adverse GI, renal, bleeding, and hypersensitivity
29
Piroxicam Metabolism: Administration (per day): Therapeutic Uses:
Metabolism: Metabolized by CYP2C9 (extremetly long t½) Administration (per day): Oral administration/ once a day Therapeutic Uses: Symptomatic treatment of acute and chronic rheumatoid arthritis and osteoarthritis
30
Nabumetone (pro-drug) Administration (per day): Function: Therapeutic Use:
Administration (per day): Oral administration/ once a day Function: Active metabolite that may be more COX2 specific Therapeutic Use: Management of osteoarthritis and rheumatoid arthritis
31
Sulfasalazine - Mechanism of Action
* Effect is independent of COX inhibition * Inhibition of cytokine production * Inhibition of lipoxygenase * Free radical scavenger
32
Sulfasalazine Pharmacokinetics: Pharmacological effects: Adverse effects: Therapeutic Uses:
Pharmacokinetics: Azo bond prevents absorption in upper GI tract Pharmacological effects: Local effect in GI to inhibit inflammation Adverse effects: Occur in high % of patients (sulfa moiety) Therapeutic Uses: Ulcerative colitis; Rheumatoid arthritis
33
Benefit of developing COX2 specific inhibitors
If only block COX2, can treat inflammation without risk of GI side effects
34
What does Celecoxib (Celebrex) inhibit?
COX-2 selectively
35
Celecoxib mechanism of action
* Binds tightly to a distinct hydrophilic side pocket region of COX-2 * Close proximity to COX2 binding site * COX 2 specific because this site is not present in COX1
36
Celecoxib Administration: Absorption: Metabolism:
Administration: Oral administration Absorption: Highly bound to plasma proteins Metabolism: Metabolized via CYP2C9 to inactive metabolites
37
Celecoxib Major adverse effects: Major Contraindications:
Major adverse effects: Increase risk of GI irritation, ulceration, bleeding Major Contraindications: History of GI bleeding; deficiency of CYP2C9
38
Celecoxib Therapeutic Uses
* Signs/symptoms of rheumatoid arthritis and osetoarthritis * Primary dysmenorrhea * Acute pain * Colorectal polyps
39
Acetaminophen Mechanism of Action
Not fully understood No affinity for active site of COX (may be selective for brain COX) May prevent reduction of COX to peroxidase form * inhibition by acetaminophen would be more effective under reducing conditions of low peroxide concentration * High levels of peroxide (inflammatory sites) are resistant to the action of acetaminophen
40
Acetaminophen Administration: Metabolism: Excretion:
Administration: Oral administration Metabolism: Partially by liver microsomal system * CYP2E1, CYP1A2, CYP3A4 - half life is 2 hours * Mainly undergoes glucoronidation and sulfation Excretion: Renal excretion
41
Acetaminophen: Toxicity
* Well tolerated at normal doses * Little to no GI issues * Most serious is hepatic toxicity
42
Hepatic Toxicity with Acetaminophen Symptoms? Management?
* Symptoms * Liver injury - elevated liver enzymes * Severe cases: liver failure; death * Management * N-Acetylcysteine (replenishes gluathione stores) * Earlier is better \< 36 hours
43
Role of alcohol in acetaminophen toxicity
* Alcohol induces the P450 involved in production of toxic metabolite * Alcohol depletes glutathione
44
Therapeutic use of Acetaminophen
1. Acute pain and fever 2. No anti inflammatory effects