Hydrazine
N2H4

Vinyl

Define observed rotation of a molecule
degree to which a sample rotates PPL
Why are alcohols soluble in water?
They can H bond with water
Cycloalkanes and ring strain
If you see C6H5, what is it?
a BENZENE!
1º,2º,3º OH groups have 1,2, and 3 ___ ___ which do what to charge?
What does this mean?
Have 1,2, and 3 donating groups to destabilize charge
this is why 3º is less acidic than 1º
Hückel’s Rule (for aromaticity)
to exhibit aromaticity
a ring must have EXACTLY __+__ electrons
to exhibit aromaticity
a ring must have EXACTLY: 4n+2π electrons
From what I’ve gathered, “n” is just 1 (at least it is for benzene…( 4(1) + 2π= 6 )

Hemiketal

Physical properties of alkanes
Cyclic rings create ___ ___ and make bond angles do what?
Alkenes are _____s!
Why?
Nucleophiles!
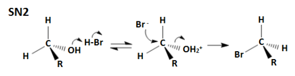
What does an SN2 rxn look like?

Rank BOND REACTIVITY for:
triple>double>single
more reactive bc of π bonds
3º ROHs can only be oxidized into ___?
PSYCHE!
They cant be oxidized at all!
1º ROH can be oxidized into?
1º ROH⇒Aldehydes⇒Carboxylic Acids
Alcohols are less/more acidic than water
LESS acidic than water
Imine

Hybridization:
sp3, 1 LP
Trigonal Planar

Hybridization:
sp3d, 2 LPs
T-shaped

What is a racemic mixture a mixture OF?
50/50 mix of R and S enantiomers
Anomers
ALPHA anomer
on the “Alpha-site side”
Alcohols behave as either: ___s or as a ___
1) Nucleophiles
* (the lone pair on oxygen acts as a Lewis base)
2) Lewis acids
Hybridization:
sp3d2, 1 LP
Square Pyramidal
