COMBUSTION OF AN ALKANE
Is when you are reacting SOMETHING
with O2
to produce CO2, H2O and HEAT
SYNTHESIS OF AN ALKANE FROM AN ALKENE
…Is when you are reacting an ALKENE
with H2 IN THE PRESENCE OF A METAL CATALYST
to produce AN ALKANE
(H2/Pd)
OXIDATION OF AN ALCOHOL
…Is when you are reacting AN ALCOHOL (1° or 2°) with an OXIDIZING AGENT
to produce EITHER KETONES (2°) or ALDEHEDYDES/COOHs (1°)
REDUCTION SYNTHESIS OF AN ALCOHOL
…Is when you are reacting KETONES, ALDEHYDES, COOHs or ESTERS (PREVIOUSLY OXIDIZED ALCOHOLS)
with REDUCING AGENTS
to produce (reduced) ALCOHOLS
REDUCING AGENTS:
LiAlH<strong>4</strong> (STRONGEST), NaBH4, H2/pressure
THE PINACOL REARRANGEMENT
Is when you are reacting A VIC-DIOL
with HOT ACID
to produce a KETONE or an ALDEHYDE

PROTECTION OF ALCOHOLS (FROM OXIDATION)
…Is when you are reacting an ALCOHOL
with TMS or MOM
to produce RO-TMS or RO-MOM
ALCOHOL REACTION WITH SOCl2 AND PBr3
Is when you are reacting an ALCOHOL (ROH)
with SOCl2 or PBr3
to produce R-Cl or R-Br
FORMATION OF TOSYLATES / MESYLATES
Is when you are reacting Tosyl-Cl (or Mesyl-Cl)
with an ALCOHOL (ROH)
to produce Tosyl-OR and HCl
Mesylates and Tosylates are desirable because they make very good leaving groups that will react readily with almost any nucleophile
DEHYDRATION OF AN ALCOHOL, A.K.A.
SYNTHESIS OF AN ALKENE
Is when you are reacting an ALCOHOL
with an ACID
to produce WATER, and subsequently an ALKENE
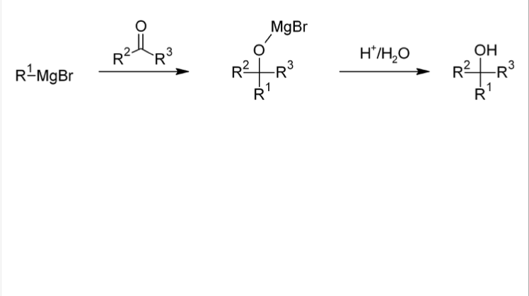
GRIGNARD SYNTHESIS
Is when you are reacting a CARBONYL ***
with RMgX
to produce an ALCOHOL
WITH AN EXTENSION OF THE CARBON CHAIN!!!!
***YOU CAN ALSO DO THIS REACTION WITH ELECTROPHILIC DB’S SUCH AS:
C=N,** **CYANO** GROUPS, **S=O,** AND **N=O

HOFFMAN DEGRADATION
REACTING A PRIMARY AMIDE
WITH STRONG, BASIC SOLUTIONS OF:
Cl2 OR Br2
TO PRODUCE A PRIMARY AMINE

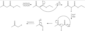
DECARBOXYLATION OF A β-KETO CARBOXYLIC ACID

Is when you are reacting A β-KETO CARBOXYLIC ACID
with :B (A BASE)
to produce CO2 + A RESONANCE-STABILIZED CARB_ANION_
(ENOL ⇔KETO TAUTOMERS)

HALOGENATION OF AN ALDEHYDE OR KETONE
Is when you are reacting
AN α-HYDROGEN OF AN ALDEHYDE OR KETONE
REDUCTION SYSTHESIS OF AMINES

ACETOACETIC ESTER SYNTHESIS
A base abstracts the acidic alpha hydrogen, leaving a carbanion
The carbanion attacks an alkyl halide (R-X), resulting in addition of the –R group to the alpha carbon
Hot acid during workup causes loss of the entire –COOR group

PINACOL REARRANGEMENT
Is when you are PROTONATING
a VIC DIOL (1,2-diol)
to produce a CARBONYL
via a METHYL SHIFT

ALDOL CONDENSATION

“SAPONIFICATION” (HYDROLYSIS OF AN ESTER)

TRANSESTERIFICATION

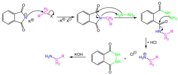
GABRIEL SYNTHESIS
Is when you are reacting a ______ ___ with a/n _____ ______, producing a _____ _____
Is an UPGRADE over ALKYL AMIDE SYNTHESIS because?
