Optimal Consumption Flashcards

(4 cards)

1
Q

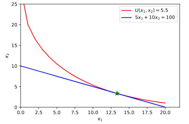
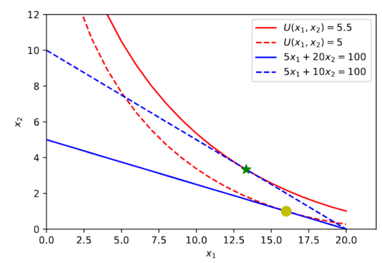
Preferences and Budget

A
How well did you know this?
1
Not at all
2
3
4
5
Perfectly
2
Q

Possible Choices

Which is optimal

A

Optimal is C

How well did you know this?
1
Not at all
2
3
4
5
Perfectly
3
Q

Change in Prices

A
How well did you know this?
1
Not at all
2
3
4
5
Perfectly
4
Q

Summary

The consumer will seek to attain the ________ ______ of ______, given their ________ and _______.

This is achieved by choosing, amongst all of those combinations which are ___________, that which gives the ________ _______.

A change in prices will redefine the _________ __________ and lead to a different ________ ____________ _______.

A

The consumer will seek to attain the highest level of utility, given their income and prices.

This is achieved by choosing, amongst all of those combinations which are affordable, that which gives the highest utility.

A change in prices will redefine the budget constraint and lead to a different optimal consumption choice.

How well did you know this?
1
Not at all
2
3
4
5
Perfectly