** coulomb:**
e= 1.60 x 10-10 C
A proton and an electron each have this amount of charge:
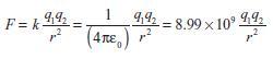
Coulomb’s law
F=(kq1q2)/r2
magnitude of the electrostatic force F between two charges q1 and q2 whose centers are separated by a distance r

electric field
Electric fields are produced by source charges (q). When a test charge (q0) is placed in an electric field (E), it will experience an electrostatic force (F) equal to q0E.
[Efield is the magnitude of electric field, F is force felt by test charge qo, k is the electrostatic constant, q is the source charge magnitude, and r is the distance between the charges]
stationary charges in an electric field (testing)
stationary test charge: qo the charge placed in the electric field
**stationary source charge: **the charge that sets up the electric field
field lines (lines of force)
Force in an electric field
force will be generated on the test charge by the electric field:
F=q0E
NOTE: vector equation—be sure to maintain the sign on the charge so that the direction of the force vector is in the direction of qoE.
Electric Potential Energy
Uelectrical and Work
electrical potential energy for a charge at a point in space in an electric field — the amount of work necessary to bring the charge from infinity to that point.
U=W=Fd
d is the distance r that separates two charges, so
U=W=Fd=Fr = (kqQ/r2)(r)= kqQ/r
Electric Potential
Voltage: potential difference
Electrostatic Work (From V)
Wab is the work needed to move a test charge qo through an electric field from point a to point b.
The work depends only on the potentials at the two points a and b and is independent of the actual pathway taken between a and b.
Charge movement in an Electric Field
When a positive charge moves spontaneously though an electric field, it will move from a position of higher electric potential (higher electric potential energy divided by the positive charge) to a position of lower electric potential (lower electric potential energy divided by the positive charge).
When a negative charge moves spontaneously through an electric field, it will move from a position of lower electric potential (higher electric potential energy divided by the negative charge) to a position of higher electric potential (lower electric potential energy divided by the negative charge).
Essential Electrostatic Questions
Equipotential Lines

Electric Dipole
electric potential at a point in space due to an electric dipole
V=(kp/r2)cosø
The product of qd is defined as the dipole moment p with SI units of C· m. The dipole moment is a vector
perpendicular bisector of the dipole
the plane that lies halfway between +q and – q
angle between this plane and the dipole axis is 90° (and cos 90° = 0), the electric potential at any point along this plane is 0.
electric field due to an electric dipole along the perpendicular bisector of the dipole.
E= (1/4πε0)(p/r3)
The electric field vectors at the points along the perpendicular bisector will point in the direction opposite to p (as defined directionally by physicists)
net torque experienced by an electric dipole about the center of the dipole axis due to an external electric field
τ=pEsinø
where p is the magnitude of the dipole moment (p = qd), E is the magnitude of the uniform external electric field, and theta is the angle the dipole moment makes with the electric field. This torque will cause the dipole to reorient itself by rotating so that its dipole moment, p, aligns with the electric fieldE.

Gauss’s Law
ΦE= EA cosθ
ΦEis electric flux.
E is electric field, A is area that the field goes through, and θ is the angle between the field and the normal of the area.
For an enclosed surface, the electric flux is equal to q, the charge inside the enclosure, over the permitivity of free space.
The net electric flux through any enclosed surface is totally dependent on the charge inside. If there’s no charge inside, then the net electric flux through the enclosure is zero.