Physics Eqn Flashcards

(4 cards)

1
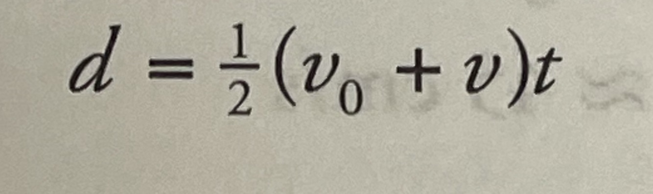
Q

Find distance without (a)

A
How well did you know this?
1
Not at all
2
3
4
5
Perfectly
2
Q

Find New velocity without (d)

A
How well did you know this?
1
Not at all
2
3
4
5
Perfectly
3
Q

Find distance without (v)

A
How well did you know this?
1
Not at all
2
3
4
5
Perfectly
4
Q

Find new velocity without (t)

A
How well did you know this?
1
Not at all
2
3
4
5
Perfectly