Quizzes Flashcards

(26 cards)

1
Q

Detoxifying enzymes are located in the membranes of which of the following organelles?

A.Golgi apparatus
B.Lysosome
C.Mitochondria
D.Nucleus
E. Smooth endoplasmic reticulum (sER)

A

Answer Key: E Feedback: a. Incorrect. The Golgi apparatus processes proteins made by the rER. b. Incorrect. Lysosomes contain intracellular hydrolytic enzymes that digest most cellular components. c. Incorrect. Mitochondria produce ATP and are involved in steroid hormone synthesis. d. Incorrect. The nucleus is the site of DNA replication and RNA transcription. e. Correct. Abundant sER is found in liver cells that are actively detoxifying noxious substances.

How well did you know this?
1
Not at all
2
3
4
5
Perfectly
2
Q

Fluorescein angiography is an invasive procedure that allows visualization of the blood vessels in the back of the eye. It is a critical test in use to identify the formation of new blood vessels and their leakage during macular degeneration, a retinal disorder. Despite having several aromatic rings, fluorescein is soluble in the blood and can be administered by I.V. injection. In its fully protonated form, shown below, how many hydrogen bond donors are there in a fluorescein molecule? (see pic)
A.1 B.2 C.3 D.4 E.5

A

Answer Key: B Feedback: =CH groups do not form hydrogen bonds, =O groups are hydrogen bond acceptors,???OH groups of alcohols and carboxylic acids are hydrogen bond donors; therefore the correct answer is ???b???.

How well did you know this?
1
Not at all
2
3
4
5
Perfectly
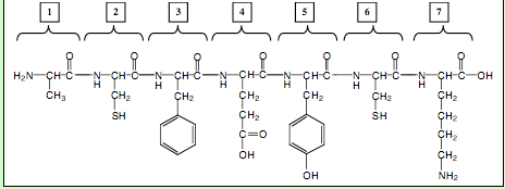
3
Q

The following figure shows the non-ionized form of an oligopeptide with its constituent amino acid residues numbered 1 through 7. You may find it useful to identify the individual amino acid residues first and record their names against each number before addressing the question. (see pic) What is the net charge of the oligopeptide at pH 7.0?

A.+2 B.+1 C.0 D.-1 E.-2

A

Answer Key: C Feedback: Use the rearranged form of the H-H equation (above) to determine the predominate ionic forms of the ionizable groups. As explained, exact calculation is not required when the difference between pH and pKa is large. In the above peptide, there are 5 amino acid side chains that have dissociable groups.At pH 7.0: Residue 2 is a Cys (pKa 8.4), which will be undissociated and nonionized (-SH) Residue 4 is a Glu (pKa 4.0), which will be dissociated and ionized (-COO -) Residue 5 is a Tyr (pKa 10.5), which will be undissociated and nonionized (-OH) Residue 6 is a Cys (pKa 8.4), which will be undissociated and nonionic Residue 7 is a Lys (pKa 10.5), which will remain undissociated and ionized (-NH3 +) Similarly, the terminal amino group (pKa 9.5) will be undissociated and ionized (-NH 3 +). On the other hand the COOH-terminal carboxyl group (pKa 2.0) will be in the dissociated form (-COO -). Adding everything together we find the net charge of the peptide will be 0. Therefore, the correct answer is “c”

How well did you know this?
1
Not at all
2
3
4
5
Perfectly
4
Q

Complete hydrolysis of dioleoylphosphatidylcholine yields all of the following EXCEPT which one?
A.Oleic acid
B.Phosphorylcholine
C.Choline
D.Inorganic phosphate
E.Glycerol

A

Answer Key: B Feedback: Complete hydrolysis means all the ester and phosphoester bonds are hydrolyzed. Phosphorylcholine has a phosphoester bond connecting phosphate and choline, so this cannot be a complete hydrolysis product.

How well did you know this?
1
Not at all
2
3
4
5
Perfectly
5
Q

Principles of health psychology equip students to better understand which of the following concepts the most?
A.The stigma associated with psychiatric disease
B.The biochemistry of neurotransmitters
C.The basis for nonadherence to medical recommendations
D.The rationale for the Institute of Medicine report on teaching psychology
E.The differential diagnosis of headaches

A

Answer Key: C Feedback: a. Incorrect. Although understanding social psychology may enhance appreciation of the stigma of psychiatric disease, this phenomenon has more of a sociocultural basis than a psychological basis. b. Incorrect Although medical psychology does indeed include the science of neurotransmitters and their influence on behavior, the emphasis of the discipline of health psychology is more focused on patient behaviors as they relate to health and illness. c. Correct. Understanding health psychology will allow one to understand the psychological factors that would influence health and illness behaviors such as the complex behavior of adherence to medical recommendations. d. Incorrect. Although the Institute of Medicine has put forth an explicit set of recommendations for educating medical students in psychology, understanding such concepts themselves would not be an important basis for understanding the genesis of the report itself. e. Incorrect. Although psychological factors may contribute to headache syndromes, as well as other chronic somatic complaints, understanding the principles of health psychology would only allow one to expand a differential for headache symptoms, not exhaustively create such a differential.

How well did you know this?
1
Not at all
2
3
4
5
Perfectly
6
Q

Structures that control the paracellular transport of molecules between epithelial cells, but do not allow direct passage of molecules from one epithelial cell to another are A.Basal bodies. B.Centrosomes. C.Gap junctions. D.Hemidesmosomes. E.Zonula occludens.

A

Answer Key: E Feedback: a. Incorrect. Basal bodies are located near the apical surface of the cell and serve as organizing centers for the assembly of the microtubules of the cilium. b. Incorrect. The centrosome is found near the nucleus and is the microtubule-organizing center of the cell. c. Incorrect. Gap junctions are also called communicating junctions because they permit the direct passage of molecules from one cell to another. d. Incorrect. Hemidesmosomes are found on the basal surface of the cell and anchor the cell to the basement membrane. e. Correct. The zonula occludens is the barrier between the luminal space and the intercellular space. It seals adjacent cells together and controls the passage of molecules between them (paracellular transport). The permeability of the junctional complex is determined by the zonula occludens i.e. a tight, tight junction or a loose, tight junction. See page 125 and figure 5.17 of your text, Histology: a text and atlas, for more information.

How well did you know this?
1
Not at all
2
3
4
5
Perfectly
7
Q

In addition to understanding the nature of stress and enhancing self-care, learning principles of psychology will help most with which of the following? A.Eliminate stress in the workplace B.Improve patient-provider communication C.Enhance evidence-based patient care D.Enhance self-awareness in medical students E.Increase the number of psychiatrists

A

Answer Key: B Feedback: a. Incorrect. Although knowledge of principles of psychology may allow one to manage, preempt, and cope better with stress in the workplace, it is unrealistic to expect that it could eliminate such stress. b. Correct. Understanding the psychological basis for patient behavior would allow physicians to better acknowledge their patient’s illness experience, empathize with them, tailor interventions accordingly, and react in a manner that is more concordant with the patient. This concordant reactional behavior would result in enhanced trust in the relationship, and overall would lead to more effective communication. c. Incorrect. There is no reason to believe that understanding psychological principles would have generalizable effects on critical appraisal skills and the application of such skills to evidence based practice. d. Incorrect. Although there is reason to believe that understanding principles of psychology may enhance personal awareness of one’s own behavior, the primary purpose of educating students on these principles is to understand their patients’ behaviors. e. Incorrect. Although enhanced knowledge of psychology may inspire more students to go into psychiatry, that is not the purpose of including such content in the curriculum.

How well did you know this?
1
Not at all
2
3
4
5
Perfectly
8
Q

A 36-year-old man who has just returned from a safari vacation in Kenya is hospitalized with an acute-onset, debilitating febrile illness that is accompanied by hemorrhagic lesions on this trunk, legs, and arms. The patient dies. Post-mortem blood samples from the patient are transferred to 3 moneys, each of which succumbs to an illness similar to that of the human. An infectious agent is isolated from the blood that can be seen with an electron microscope but not a light microscope. The agent is passaged in tissue culture, purified, and, on characterization, is found to contain protein and RNA but no DNA. The causative agent of the man’s illness is MOST LIKELY a A.bacterium B.fungus C.parasite D.prion E.virus

A

Answer Key: E Feedback: Bacteria, fungi, and parasites have protein, RNA and DNA. Prions have only proteins. Viruses have protein and EITHER RNA or DNA. Hence, the correct answer is E.

How well did you know this?
1
Not at all
2
3
4
5
Perfectly
9
Q

The active component of the U.S. Armed Forces includes approximately 1.5 million personnel. Surveillance over a 10-year period identified 63,206 cases of plant dermatitis (primarily poison ivy). This approach likely underestimates the total number of cases of plant dermatitis, because it includes only cases diagnosed during an inpatient or outpatient medical visit, not cases that were treated outside the medical system. This is an example of: A.Bias B.Chance C.Confounding D.Lack of generalizability

A

a. Correct: This is an example of a systematic error (systematically excluding mild cases for which no medical treatment is sought) that yields an inaccurate estimate of total cases. b. Incorrect: the low estimate is obtained due to systematic error (systematically excluding mild cases) rather than random error c. Incorrect: confounding occurs in analytic studies when a third factor distorts the association between exposure and disease. This is an example of bias, or systematic error. d. Incorrect: generalizability refers to whether results can be applied to a larger population. This is an example of bias, or systematic error.

How well did you know this?
1
Not at all
2
3
4
5
Perfectly
10
Q

Which one of the following bonds is most difficult to break? A.A hydrogen bond B.A disulfide bond C.An ionic bond D.A van der Waals forces bond E.A hydrophobic interaction

A

Answer Key: B Feedback: Noncovalent bonds do not involve sharing of electrons. Disulfide bonds involve sharing of electrons between the sulfur atoms of cysteine residues. None of the other bonds involve sharing of electrons. Therefore the correct answer is “b”.

How well did you know this?
1
Not at all
2
3
4
5
Perfectly
11
Q

A clinician orders a Gram stain and culture on a throat swab taken from a 3 year old with pharyngitis to rule out ”strep throat” (caused by the Gram positive coccus, Streptococcus pyogenes) . You are the lab director and suggest to the physician that a Gram stain will not help her because A.bacteria are too small to be seen by light microscopic examination of a Gram strain. B.bacteria in the throat cannot be Gram stained. C.many normal flora organism in the throat look like the agent of strep throat. D.most of the pharynx is sterile, and, therefore it will be hard to find anything on a Gram stain. E.salvia in the throat interferes with the Gram stain reaction.

A

Answer Key: C Feedback: A is incorrect because most bacteria can be seen on Gram stain (they are not too small). B is incorrect because normal flora bacteria in the throat can be seen on Gram stain. D is wrong because the pharynx is not sterile. E is incorrect because saliva does not affect the Gram stain. C is correct.

How well did you know this?
1
Not at all
2
3
4
5
Perfectly
12
Q

Surveillance of the active component of the U.S. Armed Forces over a 10-year period identified 63,206 new cases of plant dermatitis (primarily poison ivy). If there are 1.5 million active component personnel, what is the incidence density of plant dermatitis? A.4.2 percent B.4.2 per 1,000 person-years C.6,321 per year D.63,206 per 1.5 million people

A

Answer Key: B Feedback: a. incorrect: this response does not account for ten-year surveillance period and is not a measure of incidence density, which uses person-time in the denominator b. correct: the incidence density is calculated as 63,206 cases / (1.5 million people x 10 years) c. incorrect: this response does not account for the population size, so it is not a measure of incidence density, which uses person-time in the denominator d. incorrect: this response does not account for ten-year surveillance period and is not a measure of incidence density, which uses person-time in the denominator

How well did you know this?
1
Not at all
2
3
4
5
Perfectly
13
Q

Liposomes made from which of the following lipids is most likely to have the highest gel-liquid crystalline phase transition temperature (Tm) ? A.Dimyristoylphosphatidylcholine (C14:0 fatty acyl chains) B.Dipalmitoylphosphatidylcholine (C16:0 fatty acyl chains) C.I-palmitoyl-2-oleoylphosphatidylcholine (one C16:0 and one C18:1 fatty acyl chain) D.Distearoylphosphatidylcholine (C18:0 fatty acyl chains) E.1-palmitoyl-2-oleoylphosphatidylcholine with cholesterol

A

Answer Key: D Feedback: The transition temperature increases with chain length, and decreases with unsaturation. Cholesterol obliterates the phase transition. These are experimental facts, so answer d is correct on that basis alone (longest chains, no double bonds, no cholesterol). Nevertheless, these results have a logical explanation. Increasing the chain length of hydrocarbons increases the number of van der Waals interactions in the solid state. This makes the sold state more stable, and harder to melt. Hence, the higher melting temperature. Cis double bonds make the close packing of chains in the solid more difficult, requiring the temperature to be much lower in order for solidification to occur. Cholesterol wedged between chains prevents the chains from close packing along their entire length, so a true solid cannot form. Although the mixture is still in a liquid phase, the “microviscosity” of the membrane is higher than it is in the liquid crystalline phase because the rigid steroid nucleus impedes trans-gauche isomerization of the hydrocarbon chains. The mixed phase is called liquid-ordered.

How well did you know this?
1
Not at all
2
3
4
5
Perfectly
14
Q

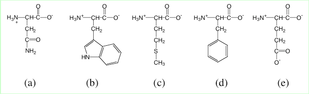
Attenuation of viral strains plays a central role in the development of vaccines against viral diseases. Evidence suggests that creating specific additional sites for glycosylation on the hemagglutinin A (HA) protein of H3N2 influenza virus results in increased glycosylation of the protein and decreased virulence of the virus. Which one of the following amino acid side chains is a potential site for enzyme-mediated glycosylation? (see pic)

A

Answer Key: A Feedback: Of the two common types of glycosylation, the N-linked glycosylation occurs on Asn side chains and O-linked glycosylation occurs at Ser side chains. Therefore, the correct answer is ???a???

How well did you know this?
1
Not at all
2
3
4
5
Perfectly
15
Q

The following figure shows the non-ionized form of an oligopeptide with its constituent amino acid residues numbered 1 through 7. You may find it useful to identify the individual amino acid residues first and record their names against each number before addressing the question. The amino and the carboxyl terminus residues are, respectively see pic A.Asp and Arg. B.Val and His. C.Pro and Lys. D.Ala and Cys. E.Tyr and Gln. F.Val and Leu. G.Ala and Lys.

A

Answer Key: G Feedback: The amino-terminal residue of the peptide is Ala and the carboxy-terminal residue is a Lys, therefore the correct answer is g.

How well did you know this?
1
Not at all
2
3
4
5
Perfectly
16
Q

Which of the following gave the Flexner Report its marked effectiveness as a tool in reforming medical education circa 1910? A.The AMA: Armed with Flexner’s findings, it could defensibly shut down medical schools found inadequate by an independent inquiry. B.State and federal oversight bodies: They used the report to shut down failing medical schools by identifying violations of health and safety codes and/or withholding government subsidies. C.Market forces: Applicants chose their schools based on whether they could reasonably expect to pass the new state licensing exams after completing their course of study. D.All of the above.

A

Answer Key: C Feedback: a. Incorrect. The AMA has never had the authority to close down any institution except itself. By the 1920s, some states’ licensure require¬ments included graduation from an AMA-accredited medical school. In the early 1900s, however, the AMA lacked even the social authority to force proprietors of weak medical schools to reform or go out of business. b. Incorrect. Health and safety laws of the early 1900s did not cover such conditions, nor did governments subsidize medical education. Most medical schools were unregulated private businesses, not even associated with universities or hospitals. In any case, Americans strongly preferred to regulate the outcome (safe, effective medicine), leaving the means of achieving it up to individual choice and enterprise. c. Correct. The new licensure exams were almost entirely focused on the new scientific knowledge that society believed made medicine significantly safer and more effective. A medical education that couldn’t get a graduate through the licensure exam was obviously a waste of his time and money, and the Flexner Report laid out what a student could NOT learn at each of the schools then open across the US and Canada. d. Incorrect. The social and legal conditions for (a) and (b) were not sufficient to force any closures or reforms.

17
Q

A 62-year-old chronically hypertensive (high blood pressure) male is evaluated for fatigue and dyspnea (shortness of breath). Chest x-rays reveal an enlarged cardiac (heart) silhouette which indicates cardiac hypertrophy. Which of the following statements is correct regarding this process? A.Hypertrophy refers to an increase in the number of cells. B.Hypertrophy is an adaptive mechanism for increased workload in this example. C.Hypertrophy is due to the decreased production of proteins within the cell. D.Hypertrophy is not reversible. E.Cardiac hypertrophy is associated with cell death.

A

Answer Key: B Feedback: a. Incorrect. This is hyperplasia- an increase in number of cells. b. Correct. Muscle hypertrophy can be induced by the actions of mechanical sensors (increased workload), and other factors. c. Incorrect. Hypertrophy is due to the INCREASED, not decreased, production of proteins within the cell. d. Incorrect. Hypertrophy is a reversible process. e. Incorrect. Cardiac hypertrophy is an adaptive process that preserves the viability and functions of the myocyte.

18
Q

The following figure shows the non-ionized form of an oligopeptide with its constituent amino acid residues numbered 1 through 7. You may find it useful to identify the individual amino acid residues first and record their names against each number before addressing the question. Identify the two residues that have a high propensity to form a covalent linkage between their side chains see pic A.1 and 7 B.2 and 6 C.3 and 5 D.4 and 7 E.1 and 4 F.2 and 3 G.3 and 4

A

Answer Key: B Feedback: The only side chains capable of forming covalent linkage between themselves spontaneously (at a significant rate and with a favorable equilibrium constant) are the two Cys residues at positions 2 and 6, hence the correct answer is b.

19
Q

A 48yo male comes to see you for a routine appointment in your clinic office. He knocks on the door and enters. After you introduce yourself, you give him directions on where to position himself for the visit. Which of the following positional scenarios is optimal for facilitating rapport and information transfer with a patient? A.You are seated while the patient is seated on an exam table looking down at you. B.You are standing while the patient is seated on an exam table looking up at you. C.You and the patient are seated; you turn your head to the patient while you type. D.You and the patient are seated, directly facing each other. E.You and the patient are seated; you type simultaneous to asking questions.

A

Answer Key: D Feedback: a. Incorrect. Different level, and the exam table can be awkward for communicating b. Incorrect. Different level, and the exam table can be awkward for communicating c. Incorrect. Unaligned body direction *d. Correct. Communication is enhanced when the patient and physician are in positions that optimize conducive nonverbal behavior: direct and sustained eye contact, open demeanor, nodding, facial expression, etc. These nonverbal behaviors convey a sense of attention that fosters rapport and allows for easier expression of empathy. Facing the patient directly at the same level, seated comfortably, and providing undivided attention will provide an optimal position for engaging in fruitful interactions e. Incorrect. Unaligned body direction. Divided attention.

20
Q

The following figure shows the non-ionized form of an oligopeptide with its constituent amino acid residues numbered 1 through 7. You may find it useful to identify the individual amino acid residues first and record their names against each number before addressing the question. How many peptide bonds are in the molecule? A.2 B.3 C.4 D.5 E.6

A

Answer Key: E Feedback: Peptide bonds are formed between the alpha-amino group of one amino acid and the alpha-carboxyl group of another. In the above figure, the first peptide bond is between amino acid residues 1 and 2, the second one is between 2 and 3, the third one is between 3 and 4, the fourth one is between 4 and 5, the fifth one is between 5 and 6, and the sixth one is between 6 and 7. Therefore, there are 6 peptide bonds altogether, which means the correct answer is ???e???

21
Q

The following figure shows the non-ionized form of an oligopeptide with its constituent amino acid residues numbered 1 through 7. You may find it useful to identify the individual amino acid residues first and record their names against each number before addressing the question. The side chains of which two amino acid residues can potentially develop ionic interactions between them? see pic A.1 and 7 B.2 and 6 C.3 and 5 D.4 and 7 E.1 and 4 F.2 and 3 G.3 and 4

A

Answer Key: D Feedback: Ionic interaction requires oppositely charged groups. In this peptide, the side chain of residue 4, which is a Glu (-COO -) can from an ionic bond with the Lys (-NH3 +) at position 7. Therefore, the correct answer is “d”

22
Q

Gastric acid keeps the stomach pH at around 1.4, which facilitates protein digestion and kills many microorganisms that are ingested with food. Gastric acid is secreted by the parietal cells, which have an intracellular pH of around 7.4. What is the ratio of hydrogen ion concentration between the stomach and the intracellular environment of the parietal cells?

A.7.4 / 1.4

B.1.4 / 7.4

C.106

D.10-6

E.Cannot be answered from the information provided

A

Answer Key: C Feedback: Definitions. pH = -log [H+]; [H+]= 10-pH If the stomach pH = 1.4, [H+] = 10-1.4 If the intracellular pH = 7.4, [H+] = 10-7.4 The ratio of [H+] between stomach and intracellular environment is 10-1.4/10-7.4 = 10(-1.4 + 7.4) = 106 Therefore, the correct answer is “c”

23
Q

Who are the parties to the “social contract” that has underpinned American medicine since about 1900? A.American citizens, in an agreement that makes pursuit of the best possible system of medical care an implicit duty of membership in American society. B.Patients and the AMA, in an agreement that grants the AMA broad disciplinary powers in exchange for a guarantee that physicians will behave according to professional standards set by the AMA as subject-matter experts. C.American society and the medical profession as a whole, in an agreement that state and local governments will protect licensed physicians from unlicensed competitors in exchange for the profession’s commitment to produce physicians who, at a minimum, meet the standards set by the states. D.Patients, the AMA and insurers (eventually including the Federal government), in an agree¬ment that strives to provide access to basic medical care for all Americans while promoting a free market, advances in medical science and individual freedom of choice

A

Answer Key: C Feedback: a. Incorrect. While there are similarities to the concepts of Hobbes and Rousseau, this social contract specifically addresses professional medical care by binding Americans collectively (society) and physicians collectively (the medical profession, created by the contract) to legally-regulated medical practice by establishment of state licensing laws and exams. b. Incorrect. The AMA may be a well-established professional body, but membership is voluntary and it has no authority to speak for the profession as a whole or discipline anyone but its members. In the late 1800s, before the structure of regional and state medical associations had been built up, it had even less power. American society has retained final say in setting broad standards for medical practice through its representative government, although it relies on physician experts to determine exactly what knowledge licensing exams should require. *c. Correct. This agreement brings to bear the police powers of the states, which can literally put an unlicensed practitioner out of business – a much more powerful tool than the self-regulation that the profession wields on its own. A profession is also expected to instill, uphold and enforce ethical and other values that go beyond legal requirements, but licensure is the key to the formal agreement. d. Incorrect. The initial contract per se addressed only ensuring a baseline for the safety and efficacy of medical care. Over time it grew to include other commitments, but at the start of the 20th century the formal agreement was still quite simple.

24
Q

The following are all attributes of a presenting symptom except which of the following? A.Chronology B.Location C.Severity D.Validity E.Associated symptoms

A

Answer Key: D Feedback: The attributes of a symptom include the following: Chronology, Location, Quality, Intensity, Setting, Alleviating and Aggravating Factors, and Associated Symptoms. The validity of a patient’s symptom should always be assumed to be real. Whether it is real or not, the validity of a symptom is not part of the conventional array of attributes that comprise its nature.

25
A 58-year-old female dies 13 hours following a myocardial infarction (heart attack). As you review the myocardial (heart) sections you notice there is an area of preserved tissue architecture, increased eosinophilia, karyolysis and karyorrhexis involving the full thickness of the sampled tissue. Which of the following statements is correct. A.This description is typical of coagulative necrosis. B.Karyolysis and karyorrhexis, with increased eosinophilia are characteristics of liquefactive necrosis. C.Friable white necrotic tissue with preserved tissue architecture of necrotic tissue describes caseous necrosis. D.This type of damage is typical of increased oxygen to the heart. E.You designate this necrosis as gangrenous since multiple tissue types are affected.
Answer Key: A Feedback: a. Correct. In coagulative necrosis the architecture of the dead tissue is preserved for a span of at least some days. b. Incorrect. Digestion of dead cells resulting in transformation of the tissue into a liquid viscous mass is characteristic of liquefactive necrosis. c. Incorrect. Friable white necrotic tissue with amorphous granular debris on microscopic examination describes caseous necrosis. d. Incorrect. Coagulative necrosis is often seen with DECREASED oxygen (ischemia) to the affected area. e. Incorrect. The term gangrenous necrosis is used clinically, usually referring to a lower extremity that has lost its blood supply and undergone necrosis affecting multiple tissue types.
26
n the Ala-Gly dipeptide shown below, which one of the bonds indicated with arrows has a partial double-bond character? see pic A.a B.b C.c D.d E.e
Answer Key: C Feedback: The correct answer is ???c???. Due to the resonance structure of the peptide bond the rotational freedom is restricted around it conferring a partial double-bond character. None of the other bonds indicated above has that. See lecture notes for slide of resonance forms.