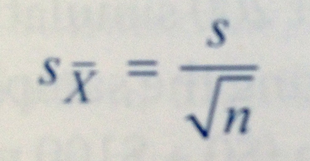
Standard Error of the Sample Mean
(population standard deviation known)
10.1

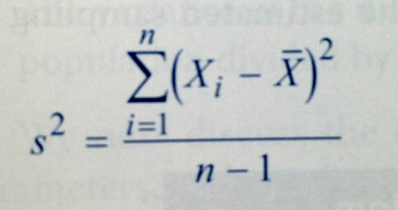
Standard Error of the Sample Mean
using sample standard deviation
10.2

Sample Variance
Sampling and Estimation
10.3

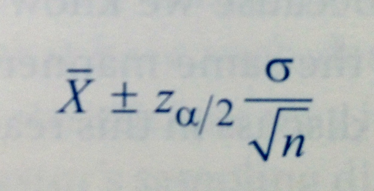
Confidence Intervals for Population Mean
Normally Distributed Population with Known Variance
Sampling and Estimation
10.4
A 100(1-alpha)% confidence interval for population mean µ when we are sampling from a normal distribution with known variance o2 is given by the formula:

Confidence Intervals for Population Mean
The z-Alternative (Large sample, unknown population variance)
Sampling and Estimation
10.5
A 100(1-alpha)% confidence interval for population mean µ when we are sampling from any distribution with unknown variance and when sample size is large is given by:

Confidence Intervals for Population Mean
t - Distribution (Large sample, unknown population variance)
Sampling and Estimation
10.6
If we are sampling from a population with unknown variance and either of the conditions below holds:
then a 100(1-alpha)% confidence interval for population mean µ is given by:

Standard Error of the Sample Mean
Sampling and Estimation
10.xtra
