Test Statistic Formula
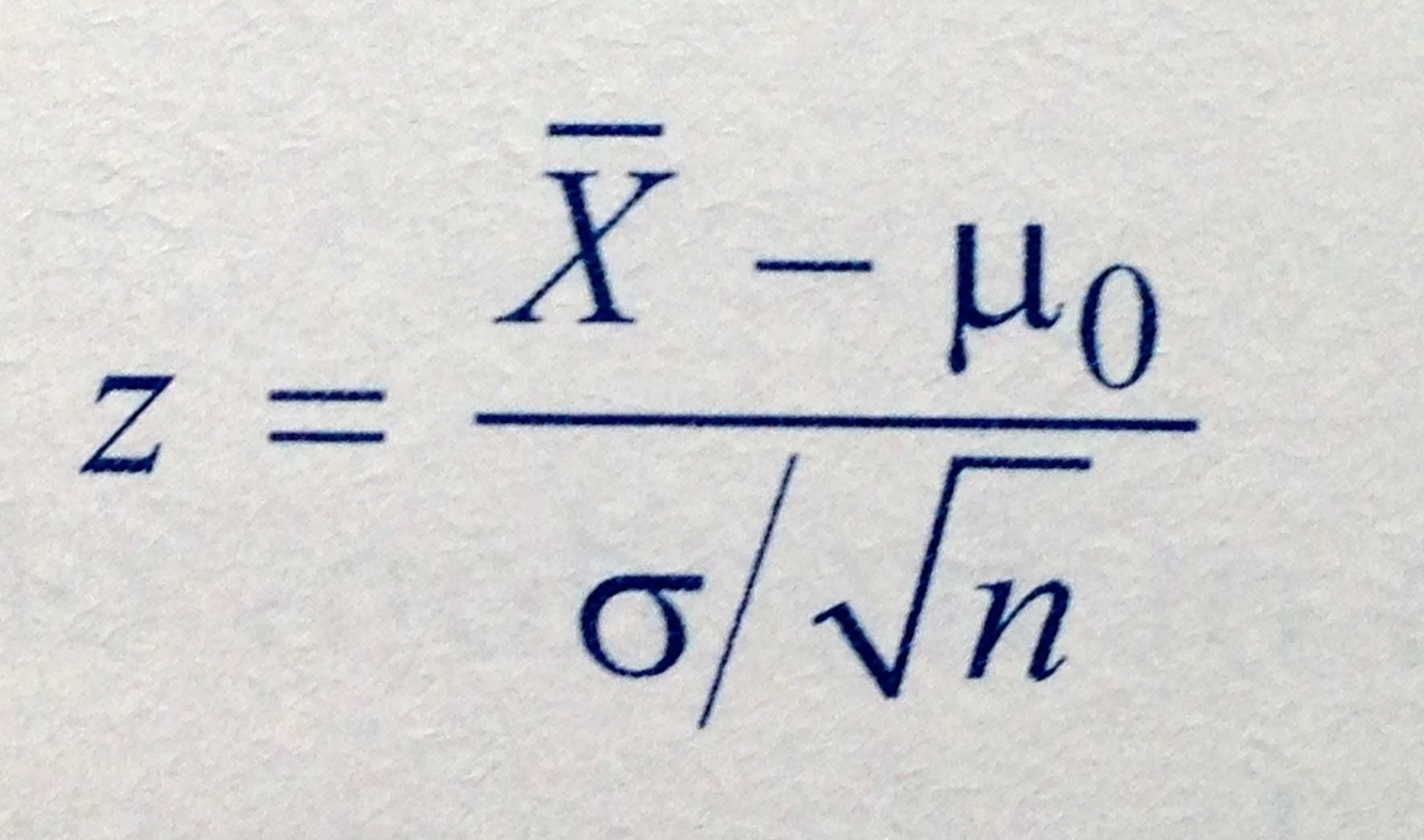
Hypothesis Testing
11.1

Standard Error
(When we know the population standard deviation)
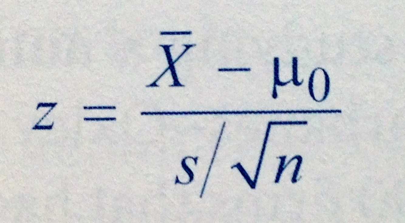
Hypothesis Testing
11.2

Standard Error
(Sample standard deviation)
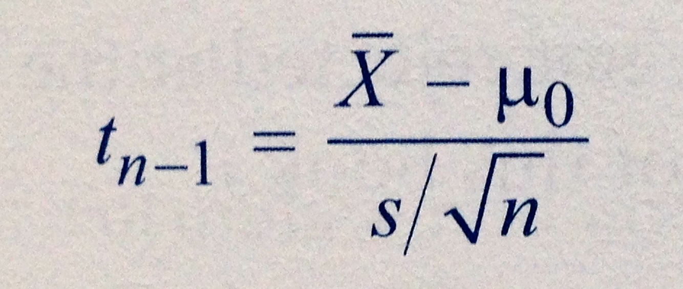
Hypothesis Testing
11.3

Test Statistic for Hypothesis Tests of the Population Mean
(Practical Case - Population Variance Unkown)
Hypothesis Testing
11.4
If the population sampled has unkown variance and either of the conditions below holds:
then the test statistic for hypothesis tests concerning a single population mean is below.
Where:
tn-1 = t-stat with n-1 degrees of freedom (n is sample size)
x bar = sample mean
u0 = the hypothesized value of the population mean
s = the sample standard deviation

Z-Test Alternative
(population sampled is normally distributed with known variance)
Hypothesis Testing
11.5

Z-Test Alternative
(unknown variance; large sample)
Hypothesis Testing
11.6

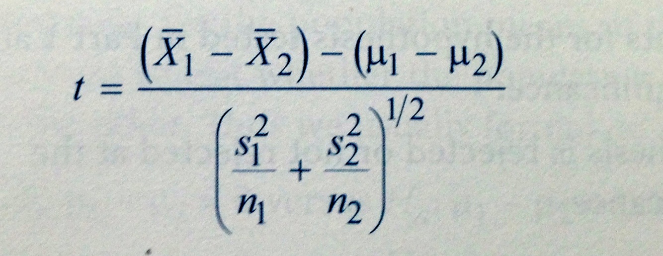
Test Statistic for a Test of the Difference between Two Population Means
(Normally Distributed Populations, Population Variances Unknown but
Assumed Equal)
Hypothesis Testing
11.7

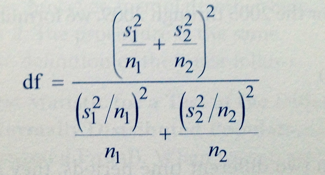
Test Statistic for a Test of the Difference between Two Population Means
(Normally Distributed Populations, Unequal and Unknown Population Variances)
Hypothesis Testing
11.8

Modified Degrees of Freedom
Hypothesis Testing
11.9

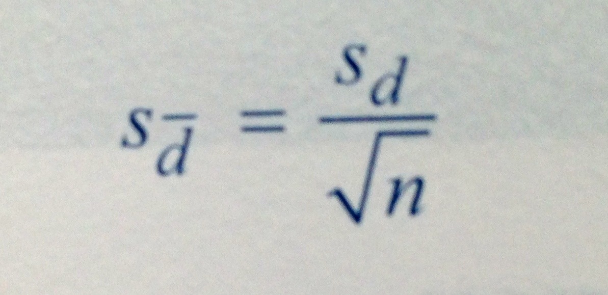
Sample Mean Difference
Hypothesis Testing
11.10
n is the number of pairs of observations

Sample Variance
(of sample mean difference)
Hypothesis Testing
11.11

Standard Error of the Mean Difference
Hypothesis Testing
11.12
After taking the square root of the sample variance:

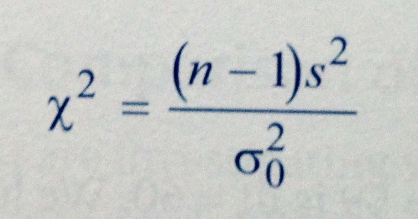
Test Statistic for a Tests Concerning the Value of a Population Variance
(Normal Population; Chi Square)
Hypothesis Testing
11.14
If we have n independent observations from a normally distributed population, the appropriate test statistic is:

Sample Variance
Hypothesis Testing
11.15

Test Statistic for Tests Concerning Differences between the Variances of Two Populations
(F-Test; normally distributed populations)
Hypothesis Testing
11.16

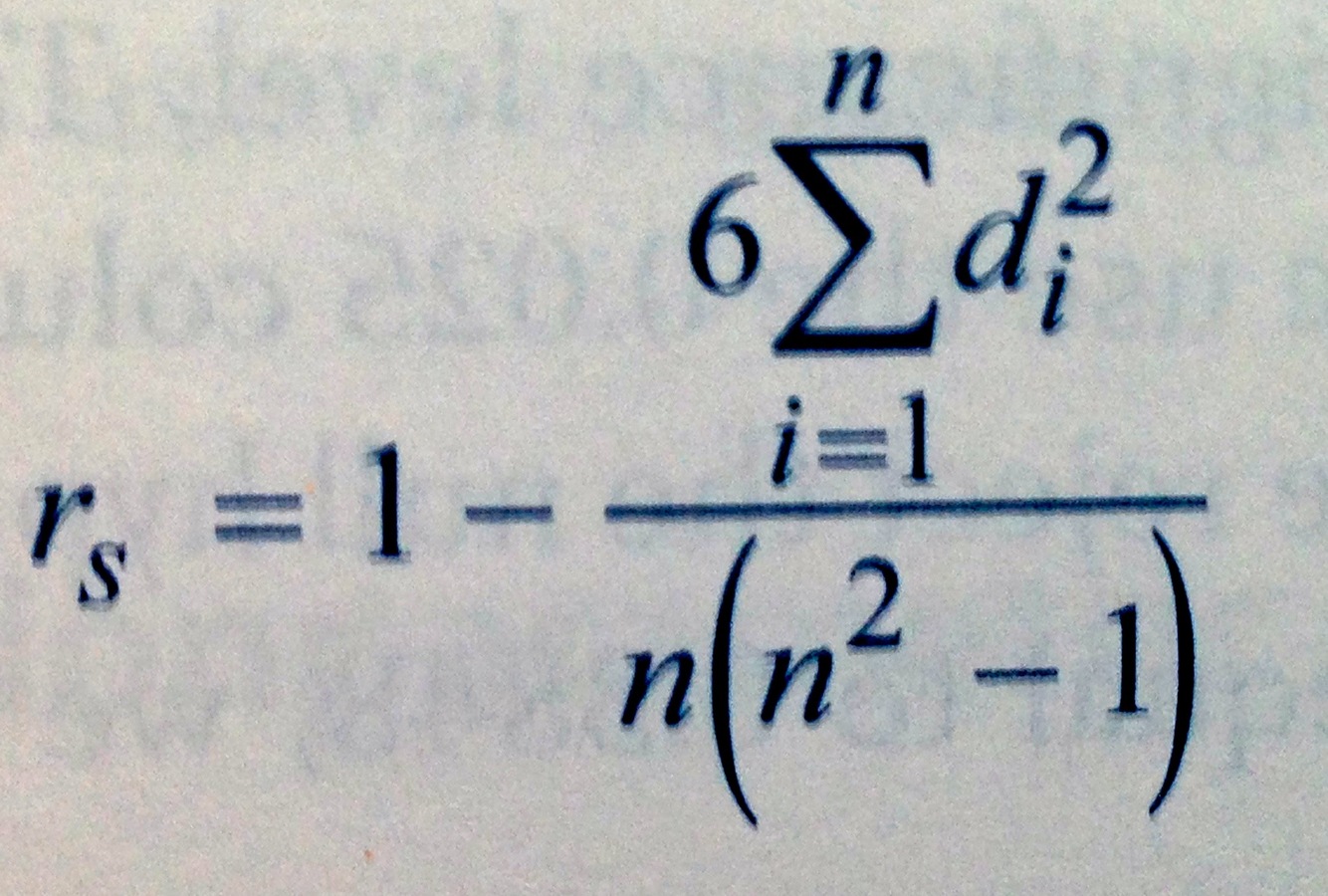
Spearman Rank Correlation
Hypothesis Testing
11.17

Large Sample T-test
(solving for t)
Hypothesis Testing
11.18

Test Statistic for a Test of Mean Differences
(Normally Distributed Populations, Unknown Population Variances)
Hypothesis Testing
11.13
