Head and Shoulders Price Target
Technical Analysis
12.xtra

Momentum or Rate of Change Oscillator
Technical Analysis
12.xtra
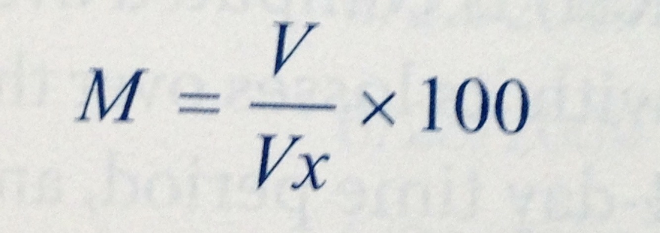
M = momentum oscillator value
V = Last closing price
Vx = closing price x days ago, typically 10 days

Momentum or Rate of Change Oscillator
(adjusted to rotate above or below 100)
Technical Analysis
12.xtra
M = momentum oscillator value
V = Last closing price
Vx = closing price x days ago, typically 10 days

RSI
Technical Analysis
12.xtra

Stochastic Oscillator
Technical Analysis
12.xtra
Where
C = latest closing price
L14 = lowest price in past 14 days
H14 = Highest price in past 14 days

Calculation of Arms Index
Technical Analysis
12.xtra
