steroid Flashcards

(9 cards)

1
Q
A

Gonane (C17)

How well did you know this?
1
Not at all
2
3
4
5
Perfectly
2
Q
A

Estrane (C18)

How well did you know this?
1
Not at all
2
3
4
5
Perfectly
3
Q
A

andostrane (C19)

How well did you know this?
1
Not at all
2
3
4
5
Perfectly
4
Q
A

Pregnane (C21)

How well did you know this?
1
Not at all
2
3
4
5
Perfectly
5
Q
A

Cholane (C24)

How well did you know this?
1
Not at all
2
3
4
5
Perfectly
6
Q
A

Cholastrane (C27)

How well did you know this?
1
Not at all
2
3
4
5
Perfectly
7
Q

Steroid skeleton

A

1,2-cyclopentano-perhydrophenantrene

How well did you know this?
1
Not at all
2
3
4
5
Perfectly
8
Q
A
How well did you know this?
1
Not at all
2
3
4
5
Perfectly
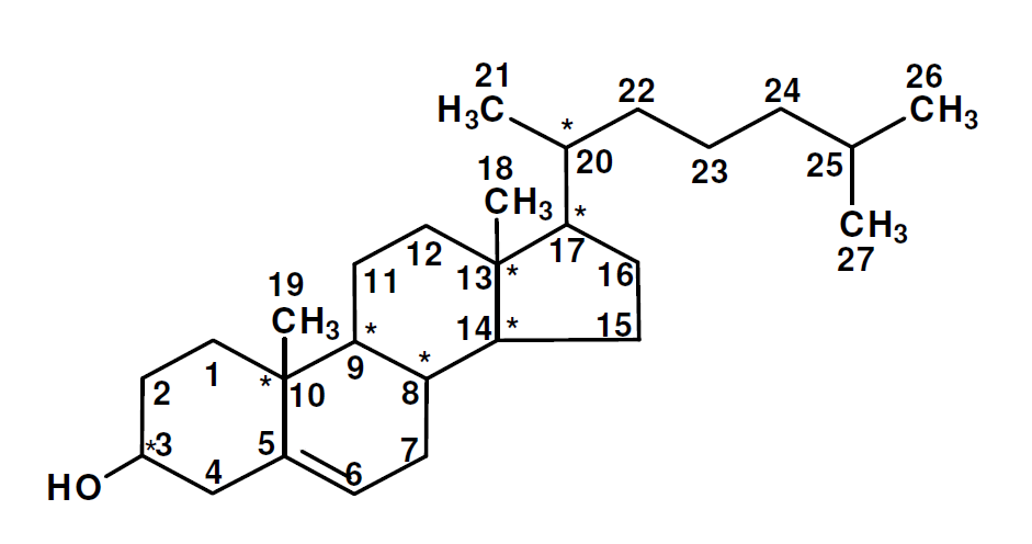
9
Q
A

Cholesterol has 8 tetrahedral stereocenter and 28=256
stereoisomers.

How well did you know this?
1
Not at all
2
3
4
5
Perfectly