Ligand
Monodentate ligand

Bidentate ligand

Bidentate ligand example

Multidentate ligand/Polydentate ligand
Hexadenate ligand
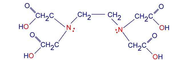
Hexadentate ligand example

Chelation
Ethylenediaminetetraacetic acid (EDTA)
EDTA in pharmaceutical analysis
Is often used as its disodium salt, Na2H2Y
Only four sites available for complexation