Theme C Flashcards

(33 cards)

1
Q

What is the amplitude

A

The maximum displacement from an oscillation

How well did you know this?
1
Not at all
2
3
4
5
Perfectly
2
Q

What is the period, T

A

The time required for the position and velocity of the object to repeat

How well did you know this?
1
Not at all
2
3
4
5
Perfectly
3
Q

What is frequency, f

A

The number of oscillations completed per
unit time. (seconds)

How well did you know this?
1
Not at all
2
3
4
5
Perfectly
4
Q

Define simple harmonic motion

A

When the restoring acceleration is proportional to the displacement from the equilibrium and in the opposite direction

How well did you know this?
1
Not at all
2
3
4
5
Perfectly
5
Q

State the equation for a simple harmonic oscillator

A

Where:

a = acceleration
ω = angular frequency
x = displacement from equilibrium

How well did you know this?
1
Not at all
2
3
4
5
Perfectly
6
Q
A

Where:

T = period
f = frequency
ω = angular frequency

How well did you know this?
1
Not at all
2
3
4
5
Perfectly
7
Q

Characteristics of harmonic oscillator

A
  • Period constant
  • Amplitude constant
  • Isochronous
  • position, velocity, acceleration are sinusoidal functions of time
How well did you know this?
1
Not at all
2
3
4
5
Perfectly
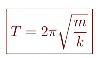
8
Q

State the period of harmonic oscillation of a spring

A

Where:

T = period
m = mass
k = spring constant

g would not affect the period and only the equilibrium position

How well did you know this?
1
Not at all
2
3
4
5
Perfectly
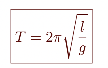
9
Q

State the period of harmonic oscillation of a pendulum

A

Where:

T = period
l = length of string
g = acceleration of free fall

the period is independent of the mass

How well did you know this?
1
Not at all
2
3
4
5
Perfectly
10
Q

Comment on the energy within oscillatory motion

A

The energy of the system itself
oscillates between potential and kinetic.

The energy oscillates with a frequency twice that of the system’s oscillation’s.

How well did you know this?
1
Not at all
2
3
4
5
Perfectly
11
Q

Differentiate between transverse and longitudinal waves

A

Transverse: The disturbance of the wave is perpendicular to the direction of propagation

Longitudinal: The disturbance of the wave is parallel to the direction of propagation

How well did you know this?
1
Not at all
2
3
4
5
Perfectly
12
Q

Define wavelength

A

Length of one repeating section

How well did you know this?
1
Not at all
2
3
4
5
Perfectly
13
Q

State the equation for wave speed

A

Where:

v = wavespeed
f = frequency
λ = wavelength
T = period

How well did you know this?
1
Not at all
2
3
4
5
Perfectly
14
Q

What are compressions and rarefactions in longitudinal mechanical waves

A

Compression is where the medium is pushed together and rarefaction is where the medium is pulled apart

How well did you know this?
1
Not at all
2
3
4
5
Perfectly
15
Q

Wavefronts

A

Continuous surfaces on a wave separated by a wavelength

How well did you know this?
1
Not at all
2
3
4
5
Perfectly
16
Q

Rays

A

Arrows which show the direction of propagation

17
Q

Relationship between wavefronts and waves

A

perpendicular

18
Q

Define intensity, I

A

Power delivered per unit area to a surface

19
Q

Relationship between intensity and amplitude

A

Intensity is often proportional to the square of the amplitude of the wave

20
Q

Relationship between intensity and distance from the source

A

Inversley proportional to the square of the distance from the source

21
Q

What is diffraction

A

The ends of the wave fronts spread out

22
Q

What angles do waves get reflected towards

A

Same angle on the opposite side of the normal

23
Q

When is a reflected wave flipped

A

When the incident wave is traveling into a medium which resists oscillations more

24
Q

What is refraction

A

When the transmitted wave propagates at a different angle from the normal because the wave speeds of the two mediums are different

25
What is the refractive index, n
The ratio of the speed of light in a vacuum, c, to the speed of an electromagnetic wave in a medium, v. Refractive index of air is 1.
26
When will electromagnetic waves be flipped when reflected
When the wave is incident on a medium of higher refractive index
27
State snells law
where: n = refractive index theta = angle between the ray and the normal v = wavespeed in one medium
28
Under what conditions does total internal reflection occur
If v2 > v1, or equivalently n2 > n1, then there are possible angles of incident θ1 such that there are no real solutions for θ2.
29
What is the critical angle
The largest angle of incidence before total internal reflection occurs
30
Constructive and destructive interference
31
What are coherent waves
waves with identical frequency and wavelengths
32
Complete constructive and complete destructive interference formula
33
State the formula for double slit interference
Where: s = spacing of the bands λ = wavelength of the interfering wave D = distance between the double slits and the detector screen d = separation of the two slits.