Theme D Flashcards

(21 cards)

1
Q

Keplers first law of orbital motion

A

Planets orbit in ellipses with the sun at one of the focus points

How well did you know this?
1
Not at all
2
3
4
5
Perfectly
2
Q

Keplers Second law of orbital motion

A

A line segment from the sun to a planet sweeps area at a constant rate

How well did you know this?
1
Not at all
2
3
4
5
Perfectly
3
Q

Kepler’s third law of orbital motion

A

The square of the orbital period of a planet is proportional to the cube of the semi-major axis of its orbit.

Where:

T = period
a = semi major axis (half of the longest ellipse cord)

How well did you know this?
1
Not at all
2
3
4
5
Perfectly
4
Q

Law of universal gravitation

A

Force of attraction between 2 point masses m. G is gravitational constant

How well did you know this?
1
Not at all
2
3
4
5
Perfectly
5
Q

Formula for gravitational field strength

A

gravitational force per unit mass that would act on a test mass in the field created by the source M

The units are Nm^-1 which is equivalent to ms^-2

How well did you know this?
1
Not at all
2
3
4
5
Perfectly
6
Q

Law of conservation of charge

A
How well did you know this?
1
Not at all
2
3
4
5
Perfectly
7
Q

Three main ways to electrically charge a body

A
How well did you know this?
1
Not at all
2
3
4
5
Perfectly
8
Q

What is grounding

A
How well did you know this?
1
Not at all
2
3
4
5
Perfectly
9
Q

Polarizing

A
How well did you know this?
1
Not at all
2
3
4
5
Perfectly
10
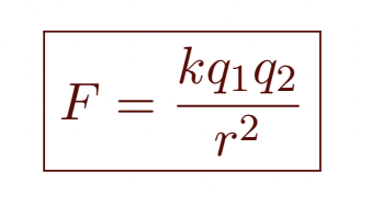
Q

Coulombs inverse square law

A
How well did you know this?
1
Not at all
2
3
4
5
Perfectly
11
Q

Coulombs constant

A
How well did you know this?
1
Not at all
2
3
4
5
Perfectly
12
Q

Electric field strength

A

volts per meter

How well did you know this?
1
Not at all
2
3
4
5
Perfectly
13
Q

Electric potential difference formula

A
How well did you know this?
1
Not at all
2
3
4
5
Perfectly
14
Q

Electric field strength

A
How well did you know this?
1
Not at all
2
3
4
5
Perfectly
15
Q

Which way do magnetic fields go

A

North to south

How well did you know this?
1
Not at all
2
3
4
5
Perfectly
16
Q

Right hand rule

17
Q

Magnetic force per unit length

18
Q

Magnetic field strength unit

19
Q

Magnitude of magnetic force on current

20
Q

Magnetic force on a single charge