Theme C HL Flashcards

(9 cards)

1
Q

Position as a function of time for simple harmonic motion

A

Where:

X0 = amplitude of oscillation
φ = phase of oscillation

How well did you know this?
1
Not at all
2
3
4
5
Perfectly
2
Q

Velocity as a function of time for oscillation

A

X0 = amplitude of oscillation
φ = phase of oscillation

How well did you know this?
1
Not at all
2
3
4
5
Perfectly
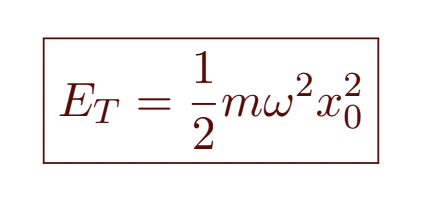
3
Q

Total energy in oscillation

A
How well did you know this?
1
Not at all
2
3
4
5
Perfectly
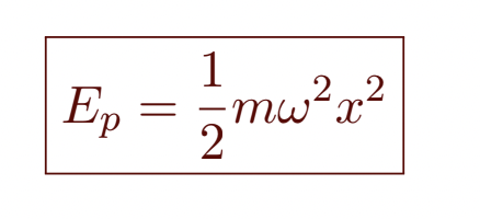
4
Q

Potential energy of oscillation

A
How well did you know this?
1
Not at all
2
3
4
5
Perfectly
5
Q

Total kinetic energy of harmonic oscillator

A
How well did you know this?
1
Not at all
2
3
4
5
Perfectly
6
Q

Equation for bands of maximum intensity

A

d = distance between slits
theta = angle between s1 and s2

How well did you know this?
1
Not at all
2
3
4
5
Perfectly
7
Q

What will be the number of secondary maxima between primary maxima for N slits

A

N-2

How well did you know this?
1
Not at all
2
3
4
5
Perfectly
8
Q

What happens as the number of slits increases

A
  • The primary maxima becomes more intense
  • The primary maxima becomes more narrow
  • The secondary maxima becomes more negligible
How well did you know this?
1
Not at all
2
3
4
5
Perfectly
9
Q

First minima of single slit diffraction

A
How well did you know this?
1
Not at all
2
3
4
5
Perfectly