What are possible ways to model nonlinear effects?
What is the calculation to get the returns to experience in this regression?
How to calculate the gender wage gap in this case?
What is multicollinearity?
Perfect multicollinearity: one regressor can be expressed as a perfect linear combination of one or several other regressors.
What does multicollinearity mean mathematically?
This means that the N × K regressor matrix X does not have full column rank K
-> X’X is singular (not invertible), thus OLS estimator β^ = (X’X)⁻¹X’y is not identifiable.
What is the problem with this regression and how to solve it?
Perfect multicollinearity. One variable will drop out!
-> Easy to detect and solve: leave one category out as the reference category
What are the consequences of “imperfect multicollinearity”?
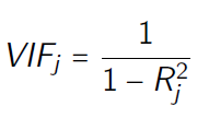
What is the Variance inflation factor?
a measure for multicollinearity
How do you calculate the Variance inflation factor?
For variable xⱼ , the VIF is defined as below, where Rⱼ² denotes the R² from a regression of variable xⱼ on all other
covariates xₖ (k ≠ j ).
What is the idea and interpretation of the variance inflation factor (VIF)?
What other way (except VIF) is there to check for multicollinearity?
test whether regressors are jointly significant -> F-Test for joint significance
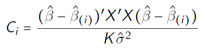
How to detect outliers/influential observations?
How do you calculate Cook’s distance?
How do you interpret the Cook’s distance?
Rule of thumb: Cᵢ > 4/N -> large influence!
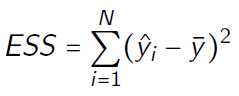
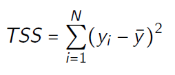
What is the total sum of squares (“Total variance”)?
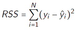
What is the residual sum of squares (“Unexplained variance”)?
What is the explained sum of squares (“Explained variance”)?
How do you interpret a high R²?
A high R² means that much of the variance of y is explained by the regressors, i.e. the model fits the data well.
How do you calculate R²?
What is a problem with R²?
R² always increases if further regressors are added to the model, if even these regressors have no additional explanatory power.
How do you calculate the adjusted R²?
How do you calculate the mean squared error (MSE)?
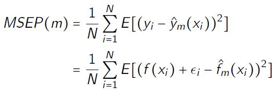
How can you prove the equation below?
What is the definition of the Mean Squared Error of Prediction (MSEP) for model m?
expected squared deviation of true values from predicted values: