What are different approaches to estimate binary dependent variables?
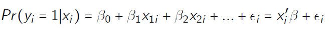
What is a Linear Probability model?
What are latent variables?
latent variables are variables that are not directly observed but are rather inferred (through a mathematical model) from other variables
How does the latent variable model look like?
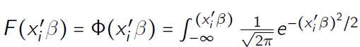
What is the probability for dependent variable y to be one under latent model?
Which question does F(x) answer?
F(x) answers the question which share of distribution (described by f(t) ) is smaller (or equal) to the value x
What is the distribution function for probit?
see below with where Φ(x) is the distribution function of the standard normal distribution -> probit
What is the distribution function for logit?
see below with Λ(x) = standard logistic function
What is complementary log-log model?
What is the distribution function for complementary log-log model?
extreme value distribution function:
What type of estimator do linear probability, logit, probit and complementary loglog have?
What are the distribution functions for linear probability, logit, probit and complementary loglog?
What are the two ways of interpreting probabilistic models?
Which Tests for Goodness of Fit can you use for models with binary dependent variables?
(same test statistic below, but different groups)
How can you apply Person’s test for goodness of fit?
How can you apply Hosmer-Lemeshow test for goodness of fit for models with binary dependent variables?
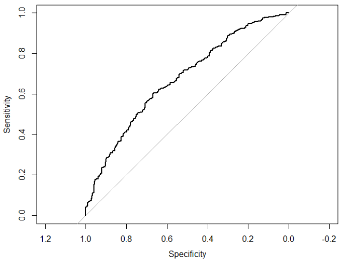
How do you calculate the Receiver Operating Characteristic-curve?
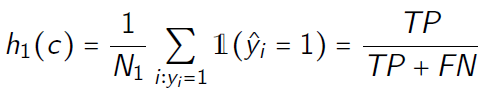
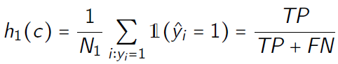
What is sensitivity?
What is specificity?
What does the ROC-curve plot?
How would you interpret the coefficient below in a linear probability model?
lm(default ~ age + sex + income + children, data=data)
…
sex estimate: - 0.057 P-value: 0.047
probability of default changes by -6 percentage points for males, keeping everything else constant. it is significant at 5% level.
What is the Wald-test?
Joint test of significance: no explanatory variable (except the intercept β0) has explanatory power:
What is the Wald-test test statistic?
with J degrees of freedom and J equals the number of restrictions (four in this example)