Week 2 Flashcards

(22 cards)

1
Q

Sufficiency principle

A
How well did you know this?
1
Not at all
2
3
4
5
Perfectly
2
Q

If T is a sufficient statistic then

A
How well did you know this?
1
Not at all
2
3
4
5
Perfectly
3
Q

Factorisation theorem

A
How well did you know this?
1
Not at all
2
3
4
5
Perfectly
4
Q

Proving sufficiency

A

Use factorisation theorem

How well did you know this?
1
Not at all
2
3
4
5
Perfectly
5
Q

YOU ARE GIVEN PDFS ETC DURING EXAM

A

Yay

How well did you know this?
1
Not at all
2
3
4
5
Perfectly
6
Q

Minimal sufficient statistic

A
How well did you know this?
1
Not at all
2
3
4
5
Perfectly
7
Q

How to find minimal sufficient statistic

A

When asked to prove that a statistic is minimal sufficient you must prove the condition in red

How well did you know this?
1
Not at all
2
3
4
5
Perfectly
8
Q

Proof of method to find minimal sufficient statistic

A

You do not need to prove this theorem for this module

How well did you know this?
1
Not at all
2
3
4
5
Perfectly
9
Q

Conventional estimators for variance and difference

A

This is a biased estimator, for unbiased we must have n-1

How well did you know this?
1
Not at all
2
3
4
5
Perfectly
10
Q

Bias of an estimator

A
How well did you know this?
1
Not at all
2
3
4
5
Perfectly
11
Q

Def of pos def matrix

A
How well did you know this?
1
Not at all
2
3
4
5
Perfectly
12
Q

Quickest way to compute FIM

A
How well did you know this?
1
Not at all
2
3
4
5
Perfectly
13
Q

Def parametric stat model

A
How well did you know this?
1
Not at all
2
3
4
5
Perfectly
14
Q

Derive χ2 dist

A

Arises from a sum of k squares of standard independent gaussians

K is deg of freedom

How well did you know this?
1
Not at all
2
3
4
5
Perfectly
15
Q

When to use t dist?

A

To estimate population parameters from sample size

Use when pop dist is assumed to be normal

How well did you know this?
1
Not at all
2
3
4
5
Perfectly
16
Q

Relate t dist to χ dist

A

S2 = (1/(n-1))*sum((xi)- x-)2)
RV of T dist is (below) for which S2(n-1) follows a χ2 dist with n-1 deg of freedom

17
Q

Assumptions of t dist

A

Data are sampled from population that follows normal dist

Observations are independent

Pop var is unknown and estimated from data

18
Q

Relate F dist to χ

A

F is ratio of 2 χ2 distributions (each divided by their respective DoF)

DoF of F are k1, k2

19
Q

Relate χ2 to Γ

A

χ2 is a special case of Γ where the shape parameter is an integer (equal to the DoF)

20
Q

The gamma dist is

A

Sum of exponential RVs

21
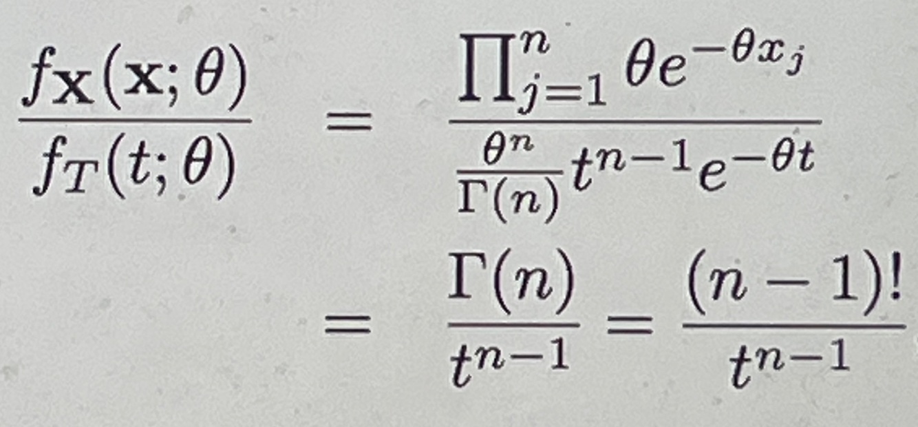
Q

Alternative way to show sufficiency

A

In this example T(X) is sum(xi) expo RVs, therefore takes gamma dist

22
Q

What can you say about the MSE of an unbiased estimator

A

This is the variance of the estimator