Week 9 Flashcards

(15 cards)

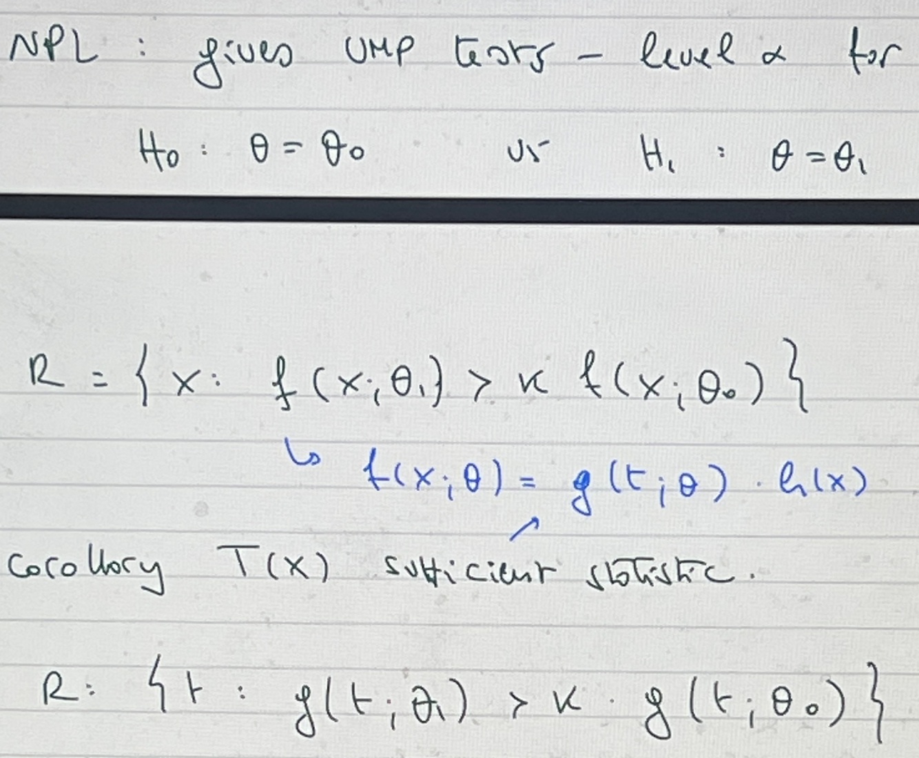
1
Q

Relate a sufficient statistic to the NP lemma

A

It is trivial to prove that if the test statistic inequality holds, so to does the one above

How well did you know this?
1
Not at all
2
3
4
5
Perfectly
2
Q

Can you use a sufficient statistic for composite hypothesis testing

A

Yes if the suff stat has a monotone likelihood ratio

How well did you know this?
1
Not at all
2
3
4
5
Perfectly
3
Q

Def monotone likelihood ratio

A
How well did you know this?
1
Not at all
2
3
4
5
Perfectly
4
Q

Karlin Rubin theorem

A
How well did you know this?
1
Not at all
2
3
4
5
Perfectly
5
Q

finding c for LRT

A
How well did you know this?
1
Not at all
2
3
4
5
Perfectly
6
Q

Intuitive interpretation of LRT

A
How well did you know this?
1
Not at all
2
3
4
5
Perfectly
7
Q

Lecture 27

A

Tests of significance

How well did you know this?
1
Not at all
2
3
4
5
Perfectly
8
Q

Purpose of test of significance

A

To measure the strength of the evidence provided by experimental data AGAINST NULL

How well did you know this?
1
Not at all
2
3
4
5
Perfectly
9
Q

Test of significance requires

A

Discrepancy measure or test criterion D(x) >= 0

P dist of D under Null

How well did you know this?
1
Not at all
2
3
4
5
Perfectly
10
Q

Define significance level or p value

A

= 1 - F0(d)

= 1 - CDF under null hypothesis at discrepancy value d

= area under curve P( D | H0)

How well did you know this?
1
Not at all
2
3
4
5
Perfectly
11
Q

Interpretation of p value

A

Smaller the p value, the larger the evidence against null by observed x

Lack of evidence against null CANT be interpreted as evidence in favour of null

p values do not provide evidence in favour of hypothesis

How well did you know this?
1
Not at all
2
3
4
5
Perfectly
12
Q

Interpretation of discrepancy measure

A

D(•) ranks samples x according to their strength of evidence against null

If x’ contains stronger evidence against null than x’’ then D(x’) > D(x’’)

Observed discrepancy D = d is regarded as large if the P of getting a larger value is small

That is to say d is an outlier in the dist of D

How well did you know this?
1
Not at all
2
3
4
5
Perfectly
13
Q

Distribution of p value

A
How well did you know this?
1
Not at all
2
3
4
5
Perfectly
14
Q

Prove dist of p value

A
How well did you know this?
1
Not at all
2
3
4
5
Perfectly
15
Q

Choosing discrepancy test

A

Generally

How well did you know this?
1
Not at all
2
3
4
5
Perfectly