Week 6 Flashcards

(10 cards)

1
Q

Is an unbiased estimator always consistent

A

No, apparently counter examples are hard to find

Var of N dist

How well did you know this?
1
Not at all
2
3
4
5
Perfectly
2
Q

Def confidence interval

A
How well did you know this?
1
Not at all
2
3
4
5
Perfectly
3
Q

Importance distinction for CI (maybe specific to frequentist interpretation)

A
How well did you know this?
1
Not at all
2
3
4
5
Perfectly
4
Q

Asymptotic confidence interval

A

as n -> inf instead of equality

Where n is sample size

How well did you know this?
1
Not at all
2
3
4
5
Perfectly
5
Q

Use the sample mean to form a standard Gaussian

A
How well did you know this?
1
Not at all
2
3
4
5
Perfectly
6
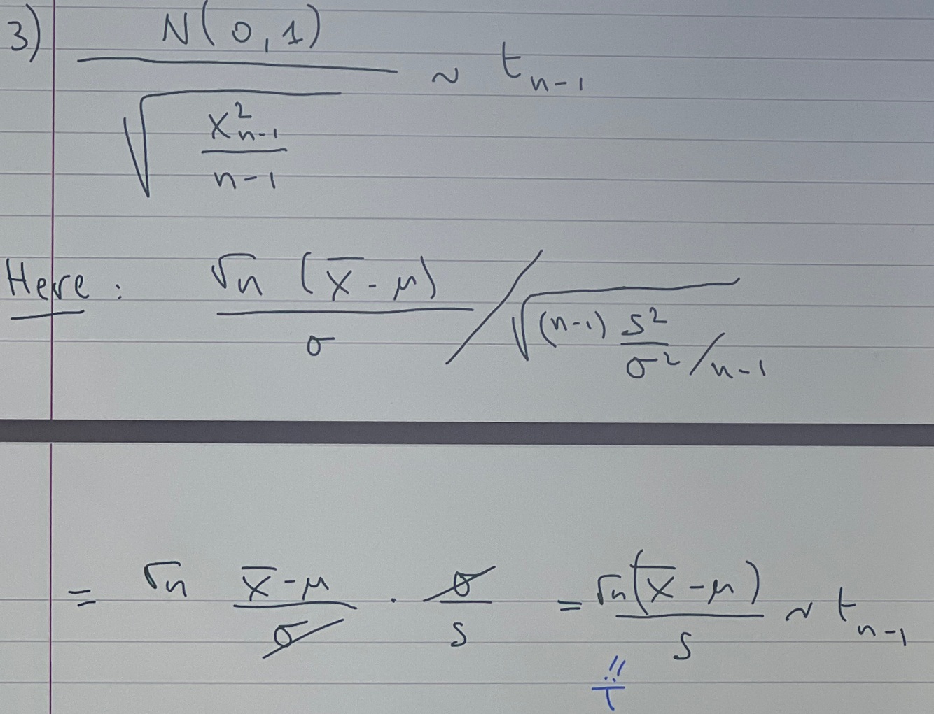
Q

Combine χ^2 with sample mean to form student t

A
How well did you know this?
1
Not at all
2
3
4
5
Perfectly
7
Q

Main difference between t and z when constructing CI

A

For Z we have a known var

How well did you know this?
1
Not at all
2
3
4
5
Perfectly
8
Q

Not examinable from Lecture 17

A

Eg 3, cases 4 and 5 (pooled variance) CI

How well did you know this?
1
Not at all
2
3
4
5
Perfectly
9
Q

How to think about confidence intervals

A

Introduce a dummy variable Y

Then sample n times and use indicator variable

How well did you know this?
1
Not at all
2
3
4
5
Perfectly
10
Q

def pivotal quantity

A

A pivotal quantity in general is a function u(X; θ) of the observations X and the parameter θ that has a completely specified distribution F (·), that is, a distribution that does not involve any unknown parameters.

How well did you know this?
1
Not at all
2
3
4
5
Perfectly