11) Integration Flashcards

(19 cards)

1
Q

What is the relationship between a function bounded on two intervals

A
How well did you know this?
1
Not at all
2
3
4
5
Perfectly
2
Q

Desccribe the proof of a function bound on two intervals

A
How well did you know this?
1
Not at all
2
3
4
5
Perfectly
3
Q

What is the Upper Integral

A
How well did you know this?
1
Not at all
2
3
4
5
Perfectly
4
Q

What is the Lower Integral

A
How well did you know this?
1
Not at all
2
3
4
5
Perfectly
5
Q

What is a refinement of a partiton

A
How well did you know this?
1
Not at all
2
3
4
5
Perfectly
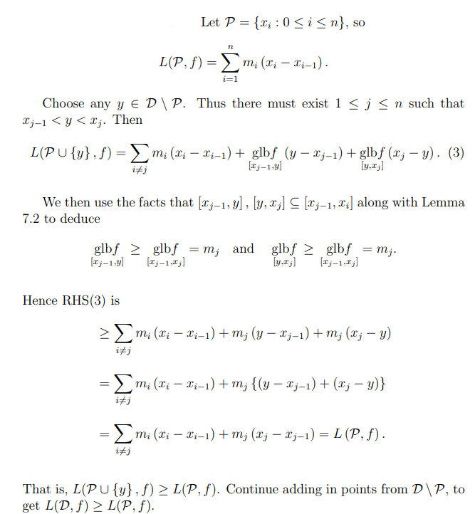
6
Q

Describe the proof that L(P, f) ≤ L(D, f)
and U(D, f) ≤ U(P, f)

A
How well did you know this?
1
Not at all
2
3
4
5
Perfectly
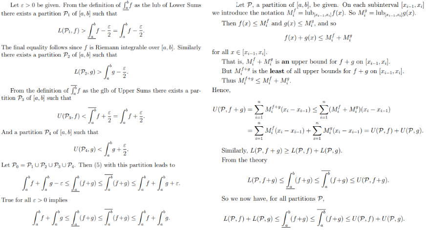
7
Q

Describe the proof that L(Q, f) ≤ U(R, f).

A
How well did you know this?
1
Not at all
2
3
4
5
Perfectly
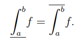
8
Q

Describe the proof that

A
How well did you know this?
1
Not at all
2
3
4
5
Perfectly
9
Q

When is a function Riemann integrable

A
How well did you know this?
1
Not at all
2
3
4
5
Perfectly
10
Q

Describe the proof that

A
How well did you know this?
1
Not at all
2
3
4
5
Perfectly
11
Q

What are some properties that imply a function is Riemann integrable

A
  • Monotnic function
  • Continuous function
  • If for all ε > 0 there exists a partition Pε such that U(Pε, f) − L(Pε, f) < ε
How well did you know this?
1
Not at all
2
3
4
5
Perfectly
12
Q

Describe the proof that a function is
Reimann integrable when monotonic

A
How well did you know this?
1
Not at all
2
3
4
5
Perfectly
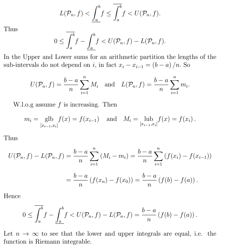
13
Q

Describe the proofthat a function is
Reimann integrable when continuous

A
How well did you know this?
1
Not at all
2
3
4
5
Perfectly
14
Q

If f(x) ≤ g(x) for all x ∈ [a, b] then what can
we say about their integrals

A
How well did you know this?
1
Not at all
2
3
4
5
Perfectly
15
Q

What can we say about the modulus on the a function’s integral

A
How well did you know this?
1
Not at all
2
3
4
5
Perfectly
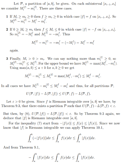
16
Q

Describe the proof that the modulus of an integral is less than or equal to the integral of the modulus of a function

17
Q

If f is Riemann integrable is f^2 Riemann integrable

A

Yes - If f is bounded and Riemann integrable on [a, b] then f2 is Riemann integrable on [a, b].

18
Q

Is the product of 2 Riemann integrable functions Riemann integrable

A

Yes - If f, g are bounded and Riemann integrable on [a, b] then the product fg is Riemann integrable on [a, b].

19
Q

What is the theorem of subintervals of Riemann integrable bounds

A

If f is bounded and Riemann integrable on [a, b] then f is
Riemann integrable over any sub-interval [c, d] ⊆ [a, b]. Also, for any c ∈ [a, b] we have