7) Derivative Rules Flashcards

(13 cards)

1
Q

What is a minium, maximum and extremum

A
  • f has a minimum at a ∈ A if f(a) ≤ f(x) for all x ∈ A.
  • f has a maximum at a ∈ A if f(x) ≤ f(a) for all x ∈ A.
  • f has an extremum at a if a is either a minimum or maximum
How well did you know this?
1
Not at all
2
3
4
5
Perfectly
2
Q

What is a local minimum

A

We say that f has a local minimum at k ∈ A if f(k) ≤ f(x) for all
x in some open neighbourhood of k

How well did you know this?
1
Not at all
2
3
4
5
Perfectly
3
Q

What is a local maximum

A

We say that f has a local maximum at ℓ ∈ A if f(x) ≤ f(ℓ) for all
x in some open neighbourhood of ℓ

How well did you know this?
1
Not at all
2
3
4
5
Perfectly
4
Q

Describe that proof that shows that if f has a local extremum at a and f is differentiable at a then f’(a) = 0.

A
How well did you know this?
1
Not at all
2
3
4
5
Perfectly
5
Q

What is Rolle’s Theorem

A

If f is differentiable on the open interval (a, b), continuous on the closed interval [a, b] and f(a) = f(b) then there exists a c : a < c < b such that f′(c) = 0.

How well did you know this?
1
Not at all
2
3
4
5
Perfectly
6
Q

Describe the proof for Rolle’s Theorem

A
How well did you know this?
1
Not at all
2
3
4
5
Perfectly
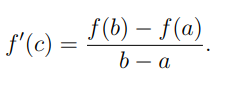
7
Q

What is the Mean Value Theorem

A

If the function f is differentiable on the open interval (a, b) and continuous on the closed interval [a, b] then there exists c : a < c < b such that

How well did you know this?
1
Not at all
2
3
4
5
Perfectly
8
Q

Describe the proof of the Mean Value Theorem

A
How well did you know this?
1
Not at all
2
3
4
5
Perfectly
9
Q

What are the applications of the Mean Value Theorem

A
  • Bounding the magnitude of |f′(c)|
  • Looking at the sign of F′(x)
How well did you know this?
1
Not at all
2
3
4
5
Perfectly
10
Q

What is the Increasing-Decreasing Theorem

A

Assume that f is differentiable on (a, b) and continuous on [a, b]
* a) If f′(x) > 0 for all x ∈ (a, b) then f is strictly increasing on [a, b]
* b) If f′(x) < 0 for all x ∈ (a, b) then f is strictly decreasing on [a, b]
* c) If f′(x) = 0 for all x ∈ (a, b) then f is constant on [a, b]

How well did you know this?
1
Not at all
2
3
4
5
Perfectly
11
Q

Describe the proof of the Increasing-Decreasing Theorem

A
How well did you know this?
1
Not at all
2
3
4
5
Perfectly
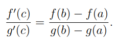
12
Q

What is Cauchy’s Mean Value Theorem

A

If f and g are differentiable on (a, b), continuous on [a, b] and g′(x)≠ 0 for all x in (a, b) then there exists a c : a < c < b such that

( Warning - We cannot apply the earlier Mean Value Theorem to f and g
separately since we might get different values for c for each functio)

How well did you know this?
1
Not at all
2
3
4
5
Perfectly
13
Q

Describe the proof of Cauchy’s Mean Value Theorem

A
How well did you know this?
1
Not at all
2
3
4
5
Perfectly