5) Differentiation Flashcards

(11 cards)

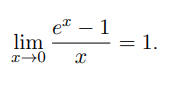
1
Q

Describe the two special limits for exp(x)

A
How well did you know this?
1
Not at all
2
3
4
5
Perfectly
2
Q

Describe the proof for

A
How well did you know this?
1
Not at all
2
3
4
5
Perfectly
3
Q

What is the derivative of exp(x)

A

exp(x)

How well did you know this?
1
Not at all
2
3
4
5
Perfectly
4
Q

Proof of derivative of exp(x)

A
How well did you know this?
1
Not at all
2
3
4
5
Perfectly
5
Q

Are sin and cos even or odd functions

A
  • sin(−α) = − sin(α) i.e. sin is an odd function
  • cos(−α) = cos(α) i.e. cos is an even function
How well did you know this?
1
Not at all
2
3
4
5
Perfectly
6
Q

What are some of the properties of sin and cos

A
How well did you know this?
1
Not at all
2
3
4
5
Perfectly
7
Q

Describe the proof of the properties of sin and cos

A
How well did you know this?
1
Not at all
2
3
4
5
Perfectly
8
Q

Describe the proof that sin and cos are continuous functions

A
How well did you know this?
1
Not at all
2
3
4
5
Perfectly
9
Q

Describe a special limit for sin(x)

A
How well did you know this?
1
Not at all
2
3
4
5
Perfectly
10
Q

Describe the proof of the speicial limit of sin(x)

A

Since both limx→0+ and limx→0− are equal to 1 we conclude the limit equals 1

How well did you know this?
1
Not at all
2
3
4
5
Perfectly
10
Q

Describe the proof that sin(x) and cos(x) are differentiable

A
How well did you know this?
1
Not at all
2
3
4
5
Perfectly