8) Mean Value Theorem Flashcards

(2 cards)

1
Q

What is L’Hopital’s Rule

A

Suppose that f and g are both differentiable and g′(x) ≠ 0 on some deleted neighbourhood of a. Then if f(a) = g(a) = 0 and limx→a f ‘(x)/g′(x) exists, we have that limx→a f(x)/g(x) exists
and

How well did you know this?
1
Not at all
2
3
4
5
Perfectly
2
Q

Describe the Proof of L’Hopitals Rule

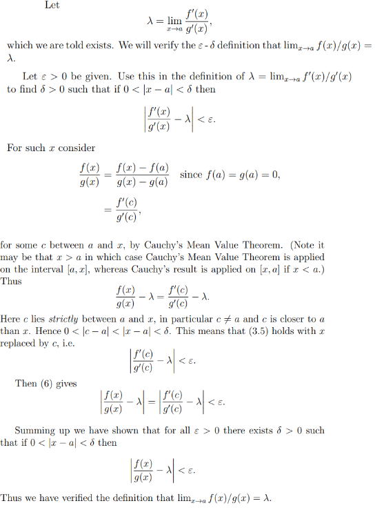
A
How well did you know this?
1
Not at all
2
3
4
5
Perfectly