Size of a matrix
r by c
Name of entry in ith row and jth column
xi j
If r = 1, the matrix is called…
If c = 1, the matrix is called…
If r = c, the matrix is called…
a row matrix
a column matrix
a square matrix
Scalar Multiplication
Each number in a matrix is multiplied by a constant.

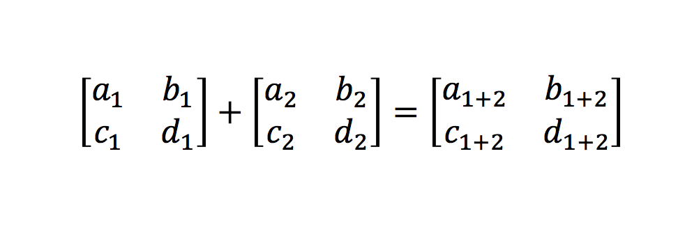
Addition and Subtraction
If two matrices are the same size, they can be added or subtracted by adding or subtacting corresponding entries.

Conditions under which matrix multiplication is possible, where:
If c1 = r2, then AB is defined and has size r1 by c2.

The entry xi j of AB is…
the ith row of A times the jth column of B.

The determinant of a 2 by 2 matrix


Finding determinants of n by n with TI-89


Singular Matrix…
Nonsingular Matrix…
determinant = zero
determinant ≠ zero
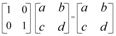
Identity Matrix

I • A = A

Multiplicative inverse of a nonsingular matrix
A–1A = AA–1 = I
Solving systems of equations using matrices on TI-89
x – y + 2z = –3
2x + y – z = 0
–x + 2y –3z = 7
⇒ x = –2, y = 7, z = 3
