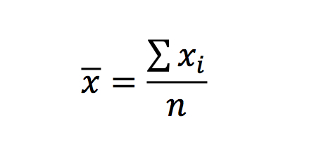
Mean
of {x1, x2, …, xn}
Sum of all data values divided by the number of values.

Median
Data must be ordered first.
Odd # of values: median is single middle value.
Even # of values: median is the mean of the two middle values.
Mode
The value that appears most often.
Range (measure of spread)
The difference between the largest and smallest data values.
Z-score
The number of standard deviations s that a data value x is from the mean x<span>–</span>

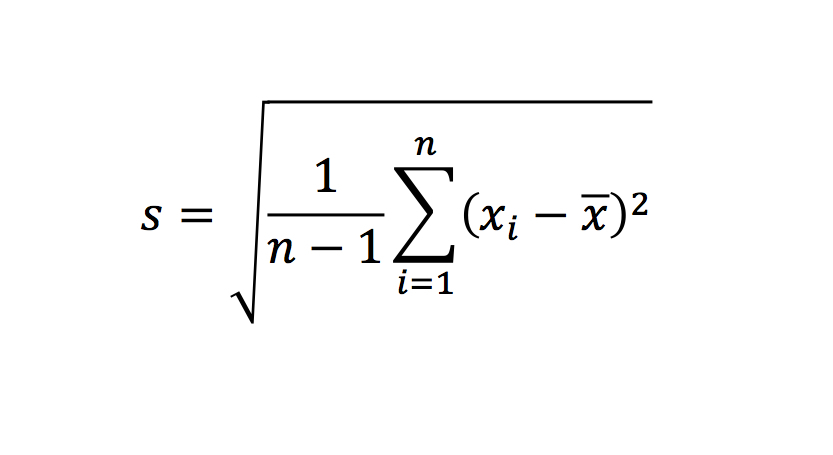
Standard Deviation
of the values {x1, x2, …, xn}
for a sample of the population.

Standard Deviation on TI-89
of {5, 7, 9}
CATALOG → stdDev

Regression
Relationship between two variables. A method for fitting a curve through a set of points.

Regression models (general equations)
Linear model: y = a0 + a1x
Quadratic model: y = a0 + a1x + a2x2
Exponential model: y = a0e<em>a</em>1<em>x</em>
Regression on TI-89
