4. Fluids EQUATIONS Flashcards

(11 cards)

1
Q

4 (Equation) What is the equation for Density?

A

ρ=density
m= mass
V= volume

How well did you know this?
1
Not at all
2
3
4
5
Perfectly
2
Q

4(Equation) Weight of a fluid.

A

Fg=ρVg

or Fg=gm

Note= the difference in these equations is that in the first one, you don’t know the mass but you know density (taken from the density equation of p=m/v), and in the second one you do know the equation.

Fg= weight
ρ = density
V=volume
g= acceleration due to gravity (9.8 or 10m/s2)

How well did you know this?
1
Not at all
2
3
4
5
Perfectly
3
Q

4 (Equation) What is the equation for specific gravity?

A

ρ=density of substance over the specific gravity of water

** The value of SG is going to be unitless. It just tells you if it will float or not. If it is greater than 1, it will sink in water. If it is less than 1, it is less dense and it will float.

How well did you know this?
1
Not at all
2
3
4
5
Perfectly
4
Q

4 (Equation) What is the equation for pressure?

A

P=pressure

  • Units for pressure= pascal (Pa) which equals
  • 1Pa= 1 N/m2=
  • 1atm= 760 torr= 760 mmHg =110,130 Pa

F=force (N)
A= area (m2)

How well did you know this?
1
Not at all
2
3
4
5
Perfectly
5
Q

4 (Equation) What is the equation for hydrostatic pressure?

A

P=Po + ρgz

  • P=absolute pressure
  • Po= incident or ambient pressure (does not always mean ambient pressure, however, in general, 1 atm)
  • ρ= density of the fluid
  • g= acceleration due to gravity (9.8 m/s2)
  • z= depth of the object
How well did you know this?
1
Not at all
2
3
4
5
Perfectly
6
Q

4 (Equation) What is the equation for gauge pressure?

A

It’s important to note that because the Incident or ambient pressure generally equals the atmospheric pressure, the equation just results to Pgauge= ρgz

The longer version of this is:
Pgauge=P-Patm= (Po +ρgz)-Patm

  • Pgauge= pressure of the gage
  • P= total pressure
  • Patm= pressure outside the closed system
  • Po= incident or ambient pressure (does not always mean ambient pressure, however, in general, 1 atm)
  • ρ= density of the fluid NOT object
  • g= acceleration due to gravity
  • z= depth of the object
How well did you know this?
1
Not at all
2
3
4
5
Perfectly
7
Q

4 (Equation) What is application of Pascal’s law to hydraulic machine and mechanical advantage?

A

P= pressure
F1=downward force on piston 1
A1= Surface area of piston 1
F2= the upward force on piston 2
A2= the surface area of piston 2

Similar the the equation F=W=P∆V in that P=W/∆V

How well did you know this?
1
Not at all
2
3
4
5
Perfectly
8
Q

4 (Equation) What is the equation for Buoyance?

A

Fbuoy=ρfluid Vfluid displaced g= ρfluidVsubmerged g

Fg,b= mbg=ρbVbg

Fbuey= upwards
ρfluid= density of fluid (NOT DENSITY OF OBJECT)
Vfluid displaced=fluid displaced
g= force exerted by gravity
ρfluid = density of fluid displaced (NOT DENSITY OF OBJECT)
Vsubmerged =volume of the object submerged

How well did you know this?
1
Not at all
2
3
4
5
Perfectly
9
Q

4 (Equation) What is the equation to calculate the rate of flow through a pipe or confined space?

A
  • Q= flow rate (volume flowing per time)
  • r= radius of the tube
  • ∆P= the pressure gradient
  • η= viscosity of the fluid
  • L=length of the pipe

Key Point: The MCAT really will not test on this equation. However, it does want you to know that the flow will increase if the radius increases (by an exponent of 4). So it’s important to know that a slight change in the radius may have a significant effect on the pressure gradient.

How well did you know this?
1
Not at all
2
3
4
5
Perfectly
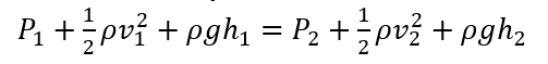
10
Q

4 (Equation) What is Bernoulli’s equation for static pressure and dynamic pressure?

A
  • P= absolute pressure of the fluid
  • ρ= density of the fluid
  • v= linear speed
  • g= the acceleration due to gravity
  • h= the height of the fluid above some datum

Pressure + KE + Potential Energy= Pressure + KE + Potential Energy

Key Point: in the end, Bernoulli’s equation is nothing other than a statement of energy conservation: more energy dedicated toward fluid movement means less energy dedicated toward static fluid pressure. Also, the inverse is true: more static pressure means less movement.

If they are the same height you can ignore the ρgh because they will be the same on both sides

It tells us that when the liquid speeds up, its pressure goes down.

How well did you know this?
1
Not at all
2
3
4
5
Perfectly
11
Q

4 (Equation) What is the equation that compares area and flow in a tube? i.e. when one tube increases in diameter, what happens to the speed of the flow?

A

Q=A1v1=A2v2

A= area (remember, area = πr2
v= speed in m/s

How well did you know this?
1
Not at all
2
3
4
5
Perfectly